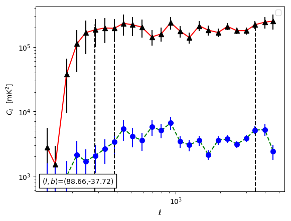
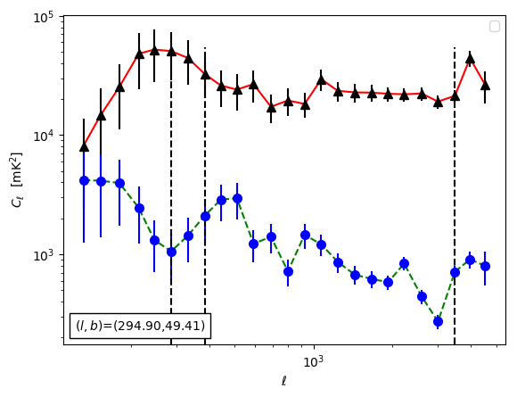
$ C_{\ell}$ vs $ \ell$ plots (before and after point source subtraction in red and green line respectively)

Figure: This figures show estimated angular power spectra $ C_{\ell}$ with $ 1\sigma$ error bars using TGSS which covers a large fraction ($ 90 \%$) of the total sky in the declination range $ \delta
>-55^{\circ}$. Here, we show the results for both before and after subtracting the point sources from the calibrated visibility data in red and green line respectively. We have removed all fields which are dominated by the system noise or have strong RFI. Finally, out of the $ 5336$ TGSS fields we present results for $ 3893$ fields which we expect to be dominated by the sky signal.
Image R01D02_20110731 Image R01D05_20110804 Image R01D07_20110801 Image R01D08_20110801 Image R01D09_20110801 Image R01D10_20110801 Image R01D11_20100828 Image R01D12_20100828 Image R01D17_20100827 Image R01D18_20100827 Image R01D20_20100827 Image R01D21_20100827 Image R01D22_20100826 Image R01D23_20100826 Image R01D24_20100826 Image R01D25_20100826 Image R01D26_20100826 Image R01D27_20100826 Image R01D28_20100826 Image R01D37_20100825 Image R01D38_20100825 Image R01D39_20100825 Image R01D40_20100819 Image R01D41_20100819 Image R01D42_20100819 Image R01D43_20100818 Image R01D44_20100818 Image R01D45_20100818 Image R01D46_20100817 Image R01D49_20100817 Image R01D53_20100813 Image R01D54_20100813 Image R01D55_20100813 Image R01D56_20100812 Image R01D57_20100812 Image R01D59_20100812 Image R01D60_20100809 Image R01D61_20100809 Image R01D62_20100809 Image R01D63_20100809 Image R01D64_20100807 Image R01D65_20100807 Image R01D66_20100807 Image R01D67_20100807 Image R01D68_20100830 Image R01D69_20100830 Image R01D71_20100830 Image R01D73_20100830 Image R01D74_20100830 Image R01D75_20100808 Image R01D75_20100830 Image R01D76_20100808 Image R01D76_20100830 Image R01D77_20100808 Image R01D78_20100808 Image R01D79_20100808 Image R01D80_20100808 Image R01D81_20100808 Image R01D82_20100808 Image R01D83_20100808 Image R01D84_20101112 Image R01D85_20100808 Image R02D02_20110731 Image R02D03_20110731 Image R02D04_20110804 Image R02D05_20110804 Image R02D06_20110804 Image R02D07_20110801 Image R02D09_20110801 Image R02D10_20110801 Image R02D11_20101107 Image R02D12_20101107 Image R02D13_20101107 Image R02D14_20101106 Image R02D15_20101106 Image R02D16_20101106 Image R02D17_20101105 Image R02D18_20101105 Image R02D19_20101105 Image R02D20_20101101 Image R02D21_20101101 Image R02D22_20101101 Image R02D23_20101101 Image R02D25_20101031 Image R02D26_20101031 Image R02D27_20101031 Image R02D28_20101031 Image R02D29_20101030 Image R02D31_20101030 Image R02D32_20101030 Image R02D33_20101029 Image R02D35_20101029 Image R02D36_20101029 Image R02D38_20101027 Image R02D39_20101027 Image R02D40_20101027 Image R02D41_20101027 Image R02D42_20101018 Image R02D43_20101018 Image R02D53_20101017 Image R02D54_20101017 Image R02D57_20101009 Image R02D58_20101009 Image R02D59_20101009 Image R02D60_20101008 Image R02D61_20101008 Image R02D62_20101008 Image R02D63_20101008 Image R02D64_20101007 Image R02D65_20101007 Image R02D66_20101007 Image R02D67_20101007 Image R02D69_20100830 Image R02D70_20100830 Image R02D72_20100830 Image R02D73_20100830 Image R02D74_20100830 Image R02D75_20100830 Image R02D76_20100830 Image R02D78_20101112 Image R02D81_20101112 Image R02D82_20101112 Image R02D84_20110129 Image R02D85_20101112 Image R03D02_20110731 Image R03D03_20110731 Image R03D04_20110827 Image R03D05_20110804 Image R03D05_20110827 Image R03D06_20110804 Image R03D06_20110827 Image R03D07_20110801 Image R03D08_20110801 Image R03D09_20110801 Image R03D11_20101107 Image R03D12_20101107 Image R03D13_20101107 Image R03D14_20101106 Image R03D15_20101106 Image R03D16_20101106 Image R03D17_20101105 Image R03D18_20101105 Image R03D19_20101105 Image R03D20_20101101 Image R03D21_20101101 Image R03D22_20101101 Image R03D23_20101101 Image R03D25_20101031 Image R03D26_20101031 Image R03D27_20101031 Image R03D28_20101031 Image R03D30_20101030 Image R03D31_20101030 Image R03D32_20101030 Image R03D33_20101029 Image R03D34_20101029 Image R03D35_20101029 Image R03D37_20101029 Image R03D38_20101027 Image R03D39_20101027 Image R03D40_20101027 Image R03D41_20101027 Image R03D42_20101018 Image R03D43_20101018 Image R03D44_20101018 Image R03D45_20101018 Image R03D52_20101017 Image R03D53_20101017 Image R03D54_20101017 Image R03D56_20101009 Image R03D57_20101009 Image R03D58_20101009 Image R03D59_20101009 Image R03D60_20101008 Image R03D61_20101008 Image R03D62_20101008 Image R03D63_20101008 Image R03D64_20101007 Image R03D65_20101007 Image R03D66_20101007 Image R03D67_20101007 Image R03D69_20101028 Image R03D70_20101028 Image R03D71_20101028 Image R03D72_20101028 Image R03D73_20101028 Image R03D74_20101028 Image R03D75_20101028 Image R03D76_20101028 Image R03D78_20101112 Image R03D82_20101228 Image R03D84_20110419 Image R03D85_20110219 Image R03D85_20110306 Image R04D02_20110731 Image R04D03_20110731 Image R04D04_20110827 Image R04D05_20110827 Image R04D06_20110827 Image R04D07_20110801 Image R04D08_20110801 Image R04D09_20110801 Image R04D11_20101107 Image R04D12_20101107 Image R04D13_20101107 Image R04D14_20101106 Image R04D15_20101106 Image R04D16_20101106 Image R04D17_20101105 Image R04D18_20101105 Image R04D19_20101105 Image R04D20_20101101 Image R04D21_20101101 Image R04D22_20101101 Image R04D23_20101101 Image R04D24_20101031 Image R04D25_20101031 Image R04D26_20101031 Image R04D27_20101031 Image R04D28_20101031 Image R04D29_20101030 Image R04D30_20101030 Image R04D31_20101030 Image R04D32_20101030 Image R04D33_20101029 Image R04D34_20101029 Image R04D35_20101029 Image R04D37_20101029 Image R04D38_20101027 Image R04D39_20101027 Image R04D40_20101027 Image R04D41_20101027 Image R04D42_20101018 Image R04D43_20101018 Image R04D44_20101018 Image R04D45_20101018 Image R04D52_20101017 Image R04D53_20101017 Image R04D54_20101017 Image R04D55_20101017 Image R04D56_20101009 Image R04D58_20101009 Image R04D59_20101009 Image R04D60_20101008 Image R04D61_20101008 Image R04D62_20101008 Image R04D63_20101008 Image R04D64_20101007 Image R04D65_20101007 Image R04D66_20101007 Image R04D67_20101007 Image R04D68_20101028 Image R04D69_20101028 Image R04D70_20101028 Image R04D71_20101028 Image R04D72_20101028 Image R04D73_20101028 Image R04D74_20101028 Image R04D75_20101028 Image R04D76_20101028 Image R04D78_20101112 Image R04D80_20101112 Image R04D81_20101112 Image R04D82_20110129 Image R04D83_20110129 Image R04D84_20100808 Image R05D02_20110807 Image R05D03_20110807 Image R05D04_20110827 Image R05D05_20110827 Image R05D06_20110827 Image R05D08_20110826 Image R05D09_20110826 Image R05D10_20110826 Image R05D13_20101107 Image R05D15_20101106 Image R05D16_20101106 Image R05D17_20101105 Image R05D18_20101105 Image R05D19_20101105 Image R05D20_20101101 Image R05D21_20101101 Image R05D22_20101101 Image R05D23_20101101 Image R05D24_20101031 Image R05D25_20101031 Image R05D28_20101031 Image R05D29_20101030 Image R05D30_20101030 Image R05D31_20101030 Image R05D32_20101030 Image R05D33_20101029 Image R05D34_20101029 Image R05D37_20101029 Image R05D43_20101018 Image R05D52_20101017 Image R05D53_20101017 Image R05D54_20101017 Image R05D55_20101017 Image R05D56_20101009 Image R05D58_20101009 Image R05D59_20101009 Image R05D60_20101008 Image R05D61_20101008 Image R05D62_20101008 Image R05D63_20101008 Image R05D64_20101007 Image R05D65_20101007 Image R05D66_20101007 Image R05D67_20101007 Image R05D68_20101028 Image R05D69_20101028 Image R05D70_20101028 Image R05D71_20101028 Image R05D72_20101028 Image R05D73_20101028 Image R05D75_20101028 Image R05D76_20101028 Image R05D77_20101112 Image R05D78_20101228 Image R05D79_20101112 Image R05D80_20101228 Image R05D82_20110219 Image R05D82_20110306 Image R05D83_20110218 Image R06D05_20110827 Image R06D06_20110827 Image R06D09_20110826 Image R06D10_20110826 Image R06D11_20101107 Image R06D12_20101107 Image R06D13_20101107 Image R06D14_20101106 Image R06D15_20101106 Image R06D16_20101106 Image R06D17_20101105 Image R06D18_20101105 Image R06D19_20101105 Image R06D20_20101101 Image R06D21_20101101 Image R06D22_20101101 Image R06D23_20101101 Image R06D24_20101101 Image R06D26_20101031 Image R06D27_20101031 Image R06D28_20101031 Image R06D29_20101030 Image R06D30_20101030 Image R06D31_20101030 Image R06D32_20101030 Image R06D33_20101030 Image R06D35_20101029 Image R06D36_20101029 Image R06D37_20101029 Image R06D38_20101027 Image R06D39_20101027 Image R06D40_20101027 Image R06D41_20101027 Image R06D43_20101018 Image R06D44_20101018 Image R06D45_20101018 Image R06D46_20101011 Image R06D47_20101011 Image R06D48_20101011 Image R06D49_20101011 Image R06D50_20101011 Image R06D51_20101011 Image R06D52_20101017 Image R06D53_20101017 Image R06D54_20101017 Image R06D55_20101017 Image R06D56_20101009 Image R06D57_20101009 Image R06D58_20101009 Image R06D59_20101009 Image R06D60_20101008 Image R06D61_20101008 Image R06D62_20101008 Image R06D63_20101008 Image R06D64_20101007 Image R06D65_20101007 Image R06D66_20101007 Image R06D67_20101007 Image R06D68_20101028 Image R06D69_20101028 Image R06D70_20101028 Image R06D71_20101028 Image R06D73_20101028 Image R06D74_20101028 Image R06D75_20101028 Image R06D76_20101028 Image R06D77_20101228 Image R06D78_20110129 Image R06D79_20101228 Image R06D80_20110129 Image R06D81_20101228 Image R06D82_20110419 Image R06D83_20110219 Image R06D83_20110306 Image R07D02_20110829 Image R07D08_20110826 Image R07D09_20110826 Image R07D11_20101107 Image R07D12_20101107 Image R07D13_20101107 Image R07D14_20101106 Image R07D15_20101106 Image R07D16_20101106 Image R07D17_20101105 Image R07D18_20101105 Image R07D19_20101105 Image R07D20_20101101 Image R07D21_20101101 Image R07D22_20101101 Image R07D23_20101101 Image R07D24_20101101 Image R07D25_20101031 Image R07D26_20101031 Image R07D27_20101031 Image R07D28_20101031 Image R07D29_20101030 Image R07D31_20101030 Image R07D32_20101030 Image R07D34_20101029 Image R07D35_20101029 Image R07D36_20101029 Image R07D37_20101029 Image R07D38_20101027 Image R07D39_20101027 Image R07D40_20101027 Image R07D41_20101027 Image R07D43_20101018 Image R07D46_20101011 Image R07D47_20101011 Image R07D48_20101011 Image R07D49_20101011 Image R07D50_20101011 Image R07D51_20101011 Image R07D52_20101017 Image R07D53_20101017 Image R07D54_20101017 Image R07D55_20101017 Image R07D58_20101009 Image R07D59_20101009 Image R07D60_20101008 Image R07D61_20101008 Image R07D62_20101008 Image R07D63_20101008 Image R07D65_20101007 Image R07D66_20101007 Image R07D67_20101007 Image R07D68_20101112 Image R07D70_20101112 Image R07D71_20101112 Image R07D72_20101112 Image R07D74_20101112 Image R07D76_20101112 Image R07D77_20110129 Image R07D78_20110129 Image R07D79_20110129 Image R07D81_20110129 Image R07D82_20110515 Image R07D83_20110515 Image R08D02_20110829 Image R08D03_20110829 Image R08D07_20110826 Image R08D08_20110826 Image R08D09_20110826 Image R08D10_20110826 Image R08D12_20101227 Image R08D13_20101227 Image R08D14_20101227 Image R08D15_20101219 Image R08D16_20101219 Image R08D17_20101219 Image R08D18_20101219 Image R08D19_20101226 Image R08D20_20101226 Image R08D21_20101226 Image R08D22_20101216 Image R08D23_20101216 Image R08D25_20101216 Image R08D26_20101217 Image R08D27_20101217 Image R08D28_20101217 Image R08D29_20101213 Image R08D30_20101030 Image R08D31_20101030 Image R08D32_20101030 Image R08D34_20101029 Image R08D35_20101029 Image R08D37_20101029 Image R08D39_20101027 Image R08D40_20101027 Image R08D41_20101027 Image R08D42_20101018 Image R08D43_20101018 Image R08D45_20101018 Image R08D46_20101011 Image R08D47_20101011 Image R08D48_20101011 Image R08D49_20101011 Image R08D50_20101011 Image R08D51_20101011 Image R08D52_20101017 Image R08D55_20101017 Image R08D56_20101009 Image R08D57_20101009 Image R08D58_20101009 Image R08D59_20101009 Image R08D60_20101008 Image R08D61_20101008 Image R08D64_20101007 Image R08D65_20101007 Image R08D66_20101007 Image R08D67_20101007 Image R08D68_20101228 Image R08D69_20101112 Image R08D70_20101228 Image R08D71_20101112 Image R08D72_20101228 Image R08D74_20101228 Image R08D75_20101112 Image R08D76_20101228 Image R08D77_20110218 Image R08D78_20110218 Image R08D79_20110218 Image R08D80_20110218 Image R09D02_20110829 Image R09D03_20110829 Image R09D07_20110909 Image R09D08_20110909 Image R09D09_20110909 Image R09D10_20110909 Image R09D11_20101227 Image R09D12_20101227 Image R09D13_20101227 Image R09D14_20101227 Image R09D15_20101219 Image R09D16_20101219 Image R09D17_20101219 Image R09D18_20101219 Image R09D19_20101226 Image R09D20_20101226 Image R09D21_20101226 Image R09D22_20101216 Image R09D24_20101216 Image R09D26_20101217 Image R09D28_20101217 Image R09D29_20101213 Image R09D30_20101213 Image R09D31_20101213 Image R09D32_20101213 Image R09D33_20101211 Image R09D35_20101211 Image R09D36_20101211 Image R09D37_20101126 Image R09D38_20101027 Image R09D39_20101027 Image R09D40_20101027 Image R09D41_20101027 Image R09D42_20101018 Image R09D43_20101018 Image R09D46_20101011 Image R09D47_20101011 Image R09D48_20101011 Image R09D49_20101011 Image R09D50_20101011 Image R09D51_20101011 Image R09D52_20101017 Image R09D53_20101017 Image R09D55_20101017 Image R09D57_20101009 Image R09D59_20101009 Image R09D60_20101008 Image R09D61_20101008 Image R09D62_20101008 Image R09D63_20101008 Image R09D64_20101007 Image R09D66_20101007 Image R09D68_20101228 Image R09D69_20101228 Image R09D70_20101228 Image R09D71_20101228 Image R09D72_20101228 Image R09D73_20101228 Image R09D74_20101228 Image R09D75_20101228 Image R09D76_20101228 Image R09D77_20110218 Image R09D78_20110218 Image R09D79_20110218 Image R09D80_20110218 Image R09D81_20110218 Image R10D02_20110829 Image R10D03_20110829 Image R10D07_20110909 Image R10D08_20110909 Image R10D09_20110909 Image R10D10_20110909 Image R10D11_20101227 Image R10D12_20101227 Image R10D13_20101227 Image R10D14_20101227 Image R10D15_20101219 Image R10D16_20101219 Image R10D17_20101219 Image R10D19_20101226 Image R10D20_20101226 Image R10D21_20101226 Image R10D22_20101216 Image R10D23_20101216 Image R10D24_20101216 Image R10D25_20101216 Image R10D29_20101213 Image R10D30_20101213 Image R10D33_20101211 Image R10D34_20101211 Image R10D35_20101211 Image R10D36_20101211 Image R10D37_20101126 Image R10D38_20101126 Image R10D39_20101126 Image R10D40_20101126 Image R10D41_20101125 Image R10D42_20101125 Image R10D43_20101125 Image R10D44_20101125 Image R10D45_20101125 Image R10D46_20101011 Image R10D47_20101011 Image R10D48_20101011 Image R10D49_20101011 Image R10D50_20101011 Image R10D51_20101011 Image R10D53_20101017 Image R10D55_20101017 Image R10D56_20101009 Image R10D57_20101009 Image R10D58_20101009 Image R10D60_20101008 Image R10D61_20101008 Image R10D62_20101008 Image R10D64_20101007 Image R10D65_20101007 Image R10D66_20101007 Image R10D67_20101007 Image R10D68_20101228 Image R10D69_20101228 Image R10D70_20101228 Image R10D71_20101228 Image R10D72_20101228 Image R10D73_20101228 Image R10D74_20101228 Image R10D75_20101228 Image R10D76_20101228 Image R10D77_20110306 Image R10D78_20110219 Image R10D78_20110306 Image R10D79_20110219 Image R10D79_20110306 Image R10D80_20110219 Image R10D80_20110306 Image R11D05_20110910 Image R11D07_20110909 Image R11D11_20101227 Image R11D12_20101227 Image R11D13_20101227 Image R11D14_20101227 Image R11D15_20101219 Image R11D16_20101219 Image R11D18_20101219 Image R11D19_20101226 Image R11D20_20101226 Image R11D21_20101226 Image R11D22_20101226 Image R11D23_20101216 Image R11D24_20101216 Image R11D25_20101216 Image R11D26_20101217 Image R11D27_20101217 Image R11D30_20101213 Image R11D31_20101213 Image R11D32_20101213 Image R11D33_20101211 Image R11D34_20101211 Image R11D35_20101211 Image R11D36_20101211 Image R11D37_20101126 Image R11D38_20101126 Image R11D39_20101126 Image R11D40_20101126 Image R11D41_20101125 Image R11D43_20101125 Image R11D45_20101125 Image R11D46_20101127 Image R11D49_20101127 Image R11D50_20101127 Image R11D51_20101128 Image R11D52_20101128 Image R11D53_20101128 Image R11D54_20101128 Image R11D55_20101128 Image R11D56_20101129 Image R11D57_20101129 Image R11D58_20101129 Image R11D60_20101113 Image R11D61_20101113 Image R11D62_20101113 Image R11D63_20101113 Image R11D64_20101111 Image R11D65_20101111 Image R11D66_20101111 Image R11D67_20101111 Image R11D69_20101228 Image R11D70_20101228 Image R11D71_20101228 Image R11D72_20101228 Image R11D73_20101228 Image R11D74_20101228 Image R11D75_20101228 Image R11D76_20101228 Image R11D77_20110419 Image R11D78_20110419 Image R11D79_20110419 Image R11D80_20110419 Image R11D81_20110419 Image R12D07_20110909 Image R12D08_20110909 Image R12D09_20110909 Image R12D10_20110909 Image R12D11_20101227 Image R12D12_20101227 Image R12D13_20101227 Image R12D14_20101227 Image R12D15_20101219 Image R12D16_20101219 Image R12D17_20101219 Image R12D18_20101219 Image R12D19_20101226 Image R12D20_20101226 Image R12D21_20101226 Image R12D22_20101226 Image R12D23_20101216 Image R12D24_20101216 Image R12D25_20101216 Image R12D26_20101217 Image R12D29_20101213 Image R12D30_20101213 Image R12D31_20101213 Image R12D32_20101213 Image R12D33_20101211 Image R12D34_20101211 Image R12D35_20101211 Image R12D36_20101211 Image R12D37_20101126 Image R12D38_20101126 Image R12D39_20101126 Image R12D40_20101126 Image R12D41_20101125 Image R12D42_20101125 Image R12D43_20101125 Image R12D44_20101125 Image R12D45_20101125 Image R12D46_20101127 Image R12D48_20101127 Image R12D50_20101127 Image R12D51_20101128 Image R12D53_20101128 Image R12D55_20101128 Image R12D56_20101129 Image R12D57_20101129 Image R12D58_20101129 Image R12D59_20101129 Image R12D62_20101113 Image R12D64_20101111 Image R12D65_20101111 Image R12D66_20101111 Image R12D67_20101111 Image R12D68_20110129 Image R12D69_20110129 Image R12D71_20110129 Image R12D72_20110129 Image R12D73_20110129 Image R12D74_20110129 Image R12D75_20110129 Image R12D76_20110129 Image R12D77_20110419 Image R12D78_20110419 Image R12D79_20110419 Image R12D80_20110419 Image R12D81_20110419 Image R13D05_20110910 Image R13D11_20101015 Image R13D12_20101015 Image R13D13_20101015 Image R13D14_20101015 Image R13D15_20101015 Image R13D16_20101016 Image R13D17_20101016 Image R13D18_20101016 Image R13D19_20101016 Image R13D20_20101016 Image R13D21_20101226 Image R13D22_20101226 Image R13D23_20101216 Image R13D24_20101216 Image R13D25_20101216 Image R13D28_20101217 Image R13D29_20101213 Image R13D30_20101213 Image R13D31_20101213 Image R13D32_20101213 Image R13D33_20101211 Image R13D34_20101211 Image R13D35_20101211 Image R13D36_20101211 Image R13D37_20101126 Image R13D38_20101126 Image R13D39_20101126 Image R13D40_20101126 Image R13D41_20101125 Image R13D43_20101125 Image R13D44_20101125 Image R13D45_20101125 Image R13D48_20101127 Image R13D49_20101127 Image R13D51_20101128 Image R13D52_20101128 Image R13D53_20101128 Image R13D54_20101128 Image R13D55_20101128 Image R13D56_20101129 Image R13D57_20101129 Image R13D58_20101129 Image R13D59_20101129 Image R13D60_20101113 Image R13D61_20101113 Image R13D62_20101113 Image R13D64_20101111 Image R13D65_20101111 Image R13D66_20101111 Image R13D67_20101111 Image R13D68_20110129 Image R13D69_20110129 Image R13D70_20110129 Image R13D72_20110129 Image R13D73_20110129 Image R13D74_20110129 Image R13D75_20110129 Image R13D76_20110129 Image R13D78_20110515 Image R13D79_20110515 Image R13D80_20110515 Image R13D81_20110515 Image R14D02_20111030 Image R14D04_20111022 Image R14D11_20101015 Image R14D12_20101015 Image R14D13_20101015 Image R14D14_20101015 Image R14D15_20101015 Image R14D16_20101016 Image R14D17_20101016 Image R14D18_20101016 Image R14D19_20101016 Image R14D20_20101016 Image R14D21_20101226 Image R14D22_20110123 Image R14D23_20110123 Image R14D24_20110123 Image R14D25_20110123 Image R14D26_20110122 Image R14D27_20110122 Image R14D28_20110122 Image R14D29_20110122 Image R14D30_20110122 Image R14D31_20110121 Image R14D33_20110121 Image R14D34_20110121 Image R14D36_20110121 Image R14D38_20101126 Image R14D39_20101126 Image R14D40_20101126 Image R14D41_20101126 Image R14D42_20101125 Image R14D43_20101125 Image R14D44_20101125 Image R14D47_20101127 Image R14D50_20101127 Image R14D51_20101128 Image R14D53_20101128 Image R14D55_20101128 Image R14D56_20101129 Image R14D58_20101129 Image R14D60_20101113 Image R14D62_20101113 Image R14D63_20101113 Image R14D64_20101111 Image R14D65_20101111 Image R14D66_20101111 Image R14D67_20101111 Image R14D68_20110129 Image R14D69_20110129 Image R14D70_20110129 Image R14D71_20110129 Image R14D72_20110129 Image R14D73_20110129 Image R14D74_20110129 Image R14D75_20110129 Image R14D76_20110129 Image R15D11_20101015 Image R15D12_20101015 Image R15D13_20101015 Image R15D14_20101015 Image R15D15_20101015 Image R15D16_20101016 Image R15D17_20101016 Image R15D19_20101016 Image R15D20_20110123 Image R15D21_20110123 Image R15D22_20110123 Image R15D23_20110123 Image R15D24_20110123 Image R15D25_20110123 Image R15D26_20110122 Image R15D28_20110122 Image R15D29_20110122 Image R15D33_20110121 Image R15D34_20110121 Image R15D35_20110121 Image R15D36_20110121 Image R15D37_20101126 Image R15D38_20101126 Image R15D39_20101126 Image R15D40_20101126 Image R15D41_20101126 Image R15D42_20101125 Image R15D43_20101125 Image R15D44_20101125 Image R15D45_20101125 Image R15D46_20101127 Image R15D47_20101127 Image R15D48_20101127 Image R15D49_20101127 Image R15D51_20101128 Image R15D52_20101128 Image R15D53_20101128 Image R15D54_20101128 Image R15D55_20101129 Image R15D56_20101129 Image R15D57_20101129 Image R15D58_20101129 Image R15D59_20101129 Image R15D60_20101113 Image R15D61_20101113 Image R15D62_20101113 Image R15D63_20101113 Image R15D64_20101111 Image R15D65_20101111 Image R15D66_20101111 Image R15D67_20101111 Image R15D68_20110218 Image R15D69_20110218 Image R15D70_20110218 Image R15D71_20110218 Image R15D73_20110218 Image R15D74_20110218 Image R15D75_20110218 Image R15D76_20110218 Image R16D06_20111022 Image R16D11_20101015 Image R16D12_20101015 Image R16D13_20101015 Image R16D14_20101015 Image R16D15_20101016 Image R16D17_20101016 Image R16D19_20101016 Image R16D20_20110123 Image R16D21_20110123 Image R16D22_20110123 Image R16D23_20110123 Image R16D24_20110123 Image R16D25_20110123 Image R16D26_20110122 Image R16D27_20110122 Image R16D28_20110122 Image R16D29_20110122 Image R16D30_20110122 Image R16D31_20110122 Image R16D33_20110121 Image R16D35_20110121 Image R16D36_20110121 Image R16D37_20101126 Image R16D38_20101126 Image R16D39_20101126 Image R16D40_20101126 Image R16D41_20101126 Image R16D42_20101125 Image R16D43_20101125 Image R16D44_20101125 Image R16D45_20101125 Image R16D46_20101127 Image R16D47_20101127 Image R16D48_20101127 Image R16D49_20101127 Image R16D50_20101128 Image R16D51_20101128 Image R16D52_20101128 Image R16D53_20101128 Image R16D54_20101128 Image R16D55_20101129 Image R16D56_20101129 Image R16D57_20101129 Image R16D58_20101129 Image R16D59_20101129 Image R16D60_20101113 Image R16D61_20101113 Image R16D63_20101113 Image R16D64_20101111 Image R16D65_20101111 Image R16D66_20101111 Image R16D67_20101111 Image R16D68_20110218 Image R16D69_20110218 Image R16D70_20110218 Image R16D71_20110218 Image R16D72_20110218 Image R16D73_20110218 Image R16D74_20110218 Image R16D75_20110218 Image R16D76_20110218 Image R16D77_20100808 Image R16D78_20100808 Image R16D79_20100808 Image R16D80_20100808 Image R16D81_20100808 Image R17D07_20111031 Image R17D07_20111115 Image R17D08_20111031 Image R17D09_20111115 Image R17D10_20111031 Image R17D11_20101015 Image R17D12_20101015 Image R17D13_20101015 Image R17D14_20101015 Image R17D16_20101016 Image R17D18_20101016 Image R17D19_20101016 Image R17D20_20110123 Image R17D21_20110123 Image R17D23_20110123 Image R17D24_20110123 Image R17D25_20110123 Image R17D26_20110122 Image R17D27_20110122 Image R17D28_20110122 Image R17D29_20110122 Image R17D31_20110122 Image R17D32_20110121 Image R17D33_20110121 Image R17D34_20110121 Image R17D35_20110121 Image R17D36_20110121 Image R17D37_20110109 Image R17D38_20110109 Image R17D39_20110109 Image R17D40_20110109 Image R17D42_20110108 Image R17D43_20110108 Image R17D44_20110108 Image R17D45_20110108 Image R17D49_20101127 Image R17D50_20101128 Image R17D51_20101128 Image R17D52_20101128 Image R17D53_20101128 Image R17D55_20101129 Image R17D56_20101129 Image R17D57_20101129 Image R17D59_20101129 Image R17D62_20101113 Image R17D63_20101113 Image R17D65_20101111 Image R17D66_20101111 Image R17D68_20110218 Image R17D69_20110218 Image R17D70_20110218 Image R17D71_20110218 Image R17D72_20110218 Image R17D73_20110218 Image R17D74_20110218 Image R17D75_20110218 Image R17D76_20110218 Image R17D77_20100808 Image R17D78_20100808 Image R17D79_20100808 Image R17D80_20100808 Image R17D81_20100808 Image R18D02_20111119 Image R18D03_20111119 Image R18D04_20111107 Image R18D05_20111107 Image R18D06_20111107 Image R18D08_20111031 Image R18D09_20111031 Image R18D09_20111115 Image R18D10_20111031 Image R18D10_20111115 Image R18D11_20101107 Image R18D13_20101107 Image R18D14_20101106 Image R18D15_20101106 Image R18D16_20101106 Image R18D17_20101105 Image R18D17_20101106 Image R18D18_20101105 Image R18D18_20101106 Image R18D19_20101105 Image R18D19_20101106 Image R18D20_20110217 Image R18D23_20110217 Image R18D24_20110201 Image R18D25_20110201 Image R18D26_20110201 Image R18D27_20110201 Image R18D28_20110126 Image R18D30_20110126 Image R18D31_20110126 Image R18D32_20110125 Image R18D33_20110125 Image R18D34_20110125 Image R18D35_20110125 Image R18D36_20110125 Image R18D38_20110109 Image R18D39_20110109 Image R18D40_20110109 Image R18D42_20110108 Image R18D43_20110108 Image R18D44_20110108 Image R18D45_20110108 Image R18D46_20110106 Image R18D48_20110106 Image R18D50_20110106 Image R18D51_20101128 Image R18D52_20110106 Image R18D53_20101128 Image R18D54_20101129 Image R18D56_20101129 Image R18D57_20101129 Image R18D58_20101129 Image R18D59_20101129 Image R18D60_20101113 Image R18D61_20101113 Image R18D62_20101113 Image R18D63_20101113 Image R18D64_20101111 Image R18D65_20101111 Image R18D66_20101111 Image R18D67_20101111 Image R18D68_20110219 Image R18D68_20110306 Image R18D69_20110219 Image R18D69_20110306 Image R18D71_20110219 Image R18D71_20110306 Image R18D72_20110306 Image R18D73_20110219 Image R18D73_20110306 Image R18D74_20110219 Image R18D74_20110306 Image R18D75_20110306 Image R18D77_20100808 Image R18D78_20100808 Image R18D79_20100808 Image R18D80_20100808 Image R19D02_20111119 Image R19D03_20111119 Image R19D04_20111107 Image R19D05_20111107 Image R19D06_20111107 Image R19D07_20111031 Image R19D07_20111115 Image R19D08_20111031 Image R19D08_20111115 Image R19D09_20111031 Image R19D10_20111031 Image R19D10_20111115 Image R19D11_20101107 Image R19D12_20101107 Image R19D13_20101107 Image R19D14_20101106 Image R19D15_20101106 Image R19D16_20101106 Image R19D17_20101105 Image R19D17_20101106 Image R19D18_20101105 Image R19D18_20101106 Image R19D19_20101105 Image R19D19_20101106 Image R19D20_20110217 Image R19D21_20110217 Image R19D22_20110217 Image R19D24_20110201 Image R19D25_20110201 Image R19D26_20110201 Image R19D27_20110201 Image R19D28_20110126 Image R19D29_20110126 Image R19D30_20110126 Image R19D31_20110126 Image R19D32_20110126 Image R19D33_20110125 Image R19D34_20110125 Image R19D35_20110125 Image R19D36_20110125 Image R19D37_20110109 Image R19D38_20110109 Image R19D39_20110109 Image R19D40_20110109 Image R19D41_20110108 Image R19D42_20110108 Image R19D43_20110108 Image R19D44_20110108 Image R19D45_20110108 Image R19D46_20110106 Image R19D47_20110106 Image R19D49_20110106 Image R19D51_20110106 Image R19D52_20110106 Image R19D53_20110107 Image R19D55_20110107 Image R19D56_20110107 Image R19D57_20110107 Image R19D58_20110107 Image R19D59_20110107 Image R19D60_20101113 Image R19D61_20101113 Image R19D64_20101111 Image R19D65_20101111 Image R19D66_20101111 Image R19D67_20101111 Image R19D68_20110219 Image R19D68_20110306 Image R19D69_20110306 Image R19D70_20110219 Image R19D70_20110306 Image R19D71_20110219 Image R19D71_20110306 Image R19D72_20110219 Image R19D72_20110306 Image R19D73_20110219 Image R19D73_20110306 Image R19D74_20110219 Image R19D74_20110306 Image R19D75_20110219 Image R19D75_20110306 Image R19D76_20110219 Image R19D76_20110306 Image R20D02_20111119 Image R20D03_20111119 Image R20D04_20111107 Image R20D05_20111107 Image R20D06_20111107 Image R20D07_20111031 Image R20D08_20111031 Image R20D08_20111115 Image R20D09_20111115 Image R20D10_20111031 Image R20D10_20111115 Image R20D11_20101107 Image R20D13_20101107 Image R20D14_20101106 Image R20D15_20101106 Image R20D16_20101106 Image R20D17_20101105 Image R20D17_20101106 Image R20D18_20101105 Image R20D18_20101106 Image R20D19_20101105 Image R20D19_20101106 Image R20D21_20110217 Image R20D22_20110217 Image R20D23_20110217 Image R20D24_20110201 Image R20D25_20110201 Image R20D26_20110201 Image R20D27_20110201 Image R20D28_20110201 Image R20D29_20110126 Image R20D30_20110126 Image R20D31_20110126 Image R20D32_20110126 Image R20D33_20110125 Image R20D34_20110125 Image R20D35_20110125 Image R20D37_20110109 Image R20D38_20110109 Image R20D39_20110109 Image R20D40_20110109 Image R20D41_20110108 Image R20D42_20110108 Image R20D43_20110108 Image R20D44_20110108 Image R20D45_20110108 Image R20D46_20110106 Image R20D48_20110106 Image R20D49_20110120 Image R20D50_20110106 Image R20D51_20110120 Image R20D52_20110106 Image R20D53_20110107 Image R20D54_20110107 Image R20D55_20110107 Image R20D56_20110107 Image R20D57_20110107 Image R20D58_20110107 Image R20D59_20110107 Image R20D60_20110119 Image R20D61_20110119 Image R20D62_20110119 Image R20D63_20110110 Image R20D64_20110110 Image R20D65_20110110 Image R20D66_20110110 Image R20D67_20110110 Image R20D68_20110219 Image R20D68_20110306 Image R20D69_20110219 Image R20D69_20110306 Image R20D70_20110219 Image R20D70_20110306 Image R20D71_20110306 Image R20D72_20110219 Image R20D72_20110306 Image R20D73_20110306 Image R20D74_20110219 Image R20D74_20110306 Image R20D75_20110219 Image R20D75_20110306 Image R20D76_20110219 Image R20D76_20110306 Image R21D02_20111119 Image R21D03_20111119 Image R21D04_20111107 Image R21D05_20111107 Image R21D06_20111107 Image R21D07_20111210 Image R21D08_20111210 Image R21D09_20111210 Image R21D10_20111210 Image R21D11_20101107 Image R21D12_20101107 Image R21D13_20101107 Image R21D15_20101106 Image R21D16_20101106 Image R21D18_20101105 Image R21D18_20101106 Image R21D19_20101105 Image R21D20_20110217 Image R21D21_20110217 Image R21D22_20110217 Image R21D23_20110217 Image R21D24_20110217 Image R21D25_20110201 Image R21D26_20110201 Image R21D27_20110201 Image R21D28_20110201 Image R21D30_20110126 Image R21D31_20110126 Image R21D32_20110126 Image R21D33_20110125 Image R21D34_20110125 Image R21D35_20110125 Image R21D36_20110125 Image R21D37_20110109 Image R21D38_20110109 Image R21D39_20110109 Image R21D40_20110109 Image R21D41_20110109 Image R21D42_20110108 Image R21D43_20110108 Image R21D44_20110108 Image R21D46_20110106 Image R21D47_20110120 Image R21D48_20110106 Image R21D49_20110120 Image R21D50_20110106 Image R21D51_20110120 Image R21D52_20110106 Image R21D53_20110107 Image R21D55_20110107 Image R21D57_20110107 Image R21D59_20110107 Image R21D60_20110119 Image R21D61_20110119 Image R21D62_20110119 Image R21D63_20110110 Image R21D64_20110110 Image R21D65_20110110 Image R21D66_20110110 Image R21D67_20110110 Image R21D68_20110419 Image R21D69_20110419 Image R21D70_20110419 Image R21D71_20110419 Image R21D72_20110419 Image R21D73_20110419 Image R21D74_20110419 Image R21D75_20110419 Image R21D76_20110419 Image R22D02_20111215 Image R22D03_20111215 Image R22D07_20111210 Image R22D09_20111210 Image R22D10_20111210 Image R22D11_20101107 Image R22D12_20101107 Image R22D13_20101107 Image R22D14_20101106 Image R22D15_20101106 Image R22D16_20101106 Image R22D17_20101105 Image R22D17_20101106 Image R22D19_20101105 Image R22D19_20101106 Image R22D20_20110217 Image R22D22_20110217 Image R22D23_20110217 Image R22D24_20110217 Image R22D25_20110201 Image R22D26_20110201 Image R22D27_20110201 Image R22D28_20110201 Image R22D29_20110126 Image R22D30_20110126 Image R22D31_20110126 Image R22D32_20110126 Image R22D33_20110125 Image R22D34_20110125 Image R22D35_20110125 Image R22D36_20110125 Image R22D37_20110109 Image R22D38_20110109 Image R22D39_20110109 Image R22D40_20110109 Image R22D41_20110109 Image R22D42_20110108 Image R22D44_20110108 Image R22D45_20110108 Image R22D47_20110120 Image R22D48_20110106 Image R22D49_20110120 Image R22D50_20110106 Image R22D52_20110106 Image R22D53_20110107 Image R22D55_20110107 Image R22D57_20110107 Image R22D59_20110107 Image R22D60_20110119 Image R22D62_20110119 Image R22D63_20110110 Image R22D64_20110110 Image R22D65_20110110 Image R22D66_20110110 Image R22D67_20110110 Image R22D68_20110419 Image R22D69_20110419 Image R22D71_20110419 Image R22D73_20110419 Image R22D74_20110419 Image R22D75_20110419 Image R22D76_20110419 Image R23D02_20111215 Image R23D03_20111215 Image R23D08_20111210 Image R23D09_20111210 Image R23D10_20111210 Image R23D11_20101107 Image R23D12_20101107 Image R23D13_20101107 Image R23D14_20101106 Image R23D15_20101106 Image R23D16_20101106 Image R23D17_20101105 Image R23D17_20101106 Image R23D18_20101105 Image R23D21_20101216 Image R23D23_20101216 Image R23D24_20101216 Image R23D25_20101217 Image R23D26_20101217 Image R23D27_20101217 Image R23D28_20101213 Image R23D29_20101213 Image R23D30_20101213 Image R23D31_20101213 Image R23D32_20101213 Image R23D33_20101211 Image R23D34_20101211 Image R23D35_20101211 Image R23D36_20101211 Image R23D37_20110109 Image R23D38_20110109 Image R23D39_20110109 Image R23D40_20110109 Image R23D41_20110109 Image R23D42_20110108 Image R23D43_20110108 Image R23D45_20110108 Image R23D46_20110106 Image R23D49_20110120 Image R23D50_20110106 Image R23D51_20110120 Image R23D52_20110106 Image R23D53_20110107 Image R23D55_20110107 Image R23D57_20110107 Image R23D59_20110107 Image R23D60_20110119 Image R23D61_20110119 Image R23D62_20110119 Image R23D63_20110110 Image R23D64_20110110 Image R23D65_20110110 Image R23D66_20110110 Image R23D67_20110110 Image R23D68_20110419 Image R23D69_20110419 Image R23D70_20110419 Image R23D71_20110419 Image R23D72_20110419 Image R23D73_20110419 Image R23D74_20110419 Image R23D75_20110419 Image R23D76_20110419 Image R24D02_20111215 Image R24D03_20111215 Image R24D06_20111211 Image R24D07_20111210 Image R24D08_20111210 Image R24D09_20111210 Image R24D10_20111210 Image R24D11_20101219 Image R24D12_20101219 Image R24D13_20101219 Image R24D14_20101219 Image R24D15_20101219 Image R24D16_20101226 Image R24D18_20101226 Image R24D19_20101226 Image R24D20_20101226 Image R24D21_20101216 Image R24D22_20101216 Image R24D23_20101216 Image R24D24_20101216 Image R24D27_20101217 Image R24D29_20101213 Image R24D30_20101213 Image R24D31_20101213 Image R24D32_20101213 Image R24D33_20101211 Image R24D34_20101211 Image R24D36_20101211 Image R24D37_20110130 Image R24D38_20110130 Image R24D41_20110128 Image R24D42_20110128 Image R24D43_20110128 Image R24D44_20110128 Image R24D45_20110128 Image R24D47_20110120 Image R24D48_20110106 Image R24D52_20110106 Image R24D53_20110107 Image R24D55_20110107 Image R24D59_20110107 Image R24D61_20110119 Image R24D62_20110119 Image R24D63_20110110 Image R24D64_20110110 Image R24D65_20110110 Image R24D66_20110110 Image R24D67_20110110 Image R24D68_20110515 Image R24D69_20110515 Image R24D70_20110515 Image R24D71_20110515 Image R24D72_20110515 Image R24D73_20110515 Image R24D74_20110515 Image R24D76_20110515 Image R25D02_20111215 Image R25D03_20111215 Image R25D04_20111211 Image R25D08_20111217 Image R25D09_20111217 Image R25D10_20111217 Image R25D11_20101219 Image R25D12_20101219 Image R25D13_20101219 Image R25D14_20101219 Image R25D15_20101219 Image R25D16_20101226 Image R25D18_20101226 Image R25D19_20101226 Image R25D20_20101226 Image R25D21_20101216 Image R25D22_20101216 Image R25D23_20101216 Image R25D25_20101217 Image R25D26_20101217 Image R25D27_20101217 Image R25D28_20101217 Image R25D29_20101213 Image R25D30_20101213 Image R25D31_20101213 Image R25D32_20101213 Image R25D33_20101211 Image R25D34_20101211 Image R25D35_20101211 Image R25D36_20101211 Image R25D37_20110130 Image R25D41_20110128 Image R25D42_20110128 Image R25D43_20110128 Image R25D44_20110128 Image R25D45_20110128 Image R25D46_20110106 Image R25D47_20110120 Image R25D48_20110106 Image R25D50_20110106 Image R25D52_20110106 Image R25D53_20110107 Image R25D55_20110107 Image R25D57_20110107 Image R25D58_20110119 Image R25D59_20110107 Image R25D60_20110119 Image R25D61_20110119 Image R25D62_20110119 Image R25D63_20110110 Image R25D64_20110110 Image R25D65_20110110 Image R25D66_20110110 Image R25D68_20110515 Image R25D69_20110515 Image R25D70_20110515 Image R25D71_20110515 Image R25D72_20110515 Image R25D73_20110515 Image R25D74_20110515 Image R25D75_20110515 Image R25D76_20110515 Image R26D02_20111228 Image R26D05_20111218 Image R26D07_20111217 Image R26D08_20111217 Image R26D09_20111217 Image R26D11_20101219 Image R26D12_20101219 Image R26D13_20101219 Image R26D14_20101219 Image R26D15_20101219 Image R26D16_20101226 Image R26D17_20101226 Image R26D18_20101226 Image R26D19_20101226 Image R26D21_20101216 Image R26D22_20101216 Image R26D23_20101216 Image R26D24_20101216 Image R26D27_20101217 Image R26D28_20101217 Image R26D29_20101213 Image R26D30_20101213 Image R26D31_20101213 Image R26D34_20101211 Image R26D35_20101211 Image R26D37_20110130 Image R26D38_20110130 Image R26D41_20110128 Image R26D42_20110128 Image R26D43_20110128 Image R26D44_20110128 Image R26D46_20110120 Image R26D47_20110120 Image R26D48_20110120 Image R26D49_20110120 Image R26D50_20110120 Image R26D53_20110107 Image R26D55_20110107 Image R26D57_20110107 Image R26D58_20110119 Image R26D60_20110119 Image R26D61_20110119 Image R26D62_20110119 Image R26D64_20110110 Image R26D65_20110110 Image R26D66_20110110 Image R26D67_20110110 Image R26D68_20110515 Image R26D69_20110515 Image R26D70_20110515 Image R26D71_20110515 Image R26D72_20110515 Image R26D73_20110515 Image R26D74_20110515 Image R26D75_20110515 Image R26D76_20110515 Image R27D04_20111218 Image R27D05_20111218 Image R27D07_20111217 Image R27D09_20111217 Image R27D10_20111217 Image R27D11_20101219 Image R27D13_20101219 Image R27D14_20101219 Image R27D15_20101219 Image R27D16_20101226 Image R27D17_20101226 Image R27D18_20101226 Image R27D19_20101226 Image R27D20_20101226 Image R27D21_20101216 Image R27D22_20101216 Image R27D23_20101216 Image R27D24_20101216 Image R27D25_20101216 Image R27D26_20101217 Image R27D27_20101217 Image R27D28_20101217 Image R27D29_20101213 Image R27D30_20101213 Image R27D31_20101213 Image R27D32_20101213 Image R27D33_20101211 Image R27D34_20101211 Image R27D35_20101211 Image R27D36_20101211 Image R27D42_20110128 Image R27D43_20110128 Image R27D44_20110128 Image R27D45_20110128 Image R27D47_20110120 Image R27D49_20110120 Image R27D50_20110120 Image R27D58_20110119 Image R27D59_20110119 Image R27D61_20110119 Image R27D62_20110119 Image R27D63_20110119 Image R27D64_20110110 Image R27D65_20110110 Image R27D66_20110110 Image R27D67_20110110 Image R27D68_20110708 Image R27D71_20110708 Image R28D02_20111228 Image R28D05_20111218 Image R28D07_20111217 Image R28D08_20111217 Image R28D10_20111217 Image R28D11_20110121 Image R28D12_20110121 Image R28D13_20110121 Image R28D14_20110121 Image R28D15_20110122 Image R28D16_20110122 Image R28D17_20110122 Image R28D20_20110123 Image R28D21_20110123 Image R28D22_20110125 Image R28D23_20110125 Image R28D24_20110125 Image R28D25_20110126 Image R28D26_20110126 Image R28D27_20110126 Image R28D28_20110126 Image R28D29_20110201 Image R28D31_20110201 Image R28D32_20110201 Image R28D33_20101227 Image R28D34_20101227 Image R28D36_20101227 Image R28D37_20110130 Image R28D42_20110128 Image R28D43_20110128 Image R28D44_20110128 Image R28D45_20110128 Image R28D47_20110120 Image R28D48_20110120 Image R28D49_20110120 Image R28D50_20110120 Image R28D58_20110223 Image R28D59_20110119 Image R28D60_20110223 Image R28D61_20110119 Image R28D62_20110221 Image R28D63_20110119 Image R28D65_20110110 Image R28D66_20110220 Image R28D67_20110110 Image R29D05_20111218 Image R29D06_20111218 Image R29D07_20120112 Image R29D08_20120112 Image R29D09_20120112 Image R29D10_20120112 Image R29D11_20110121 Image R29D12_20110121 Image R29D13_20110121 Image R29D14_20110121 Image R29D15_20110122 Image R29D16_20110122 Image R29D17_20110122 Image R29D18_20110123 Image R29D19_20110123 Image R29D20_20110123 Image R29D21_20110123 Image R29D22_20110125 Image R29D23_20110125 Image R29D24_20110125 Image R29D26_20110126 Image R29D27_20110126 Image R29D28_20110126 Image R29D29_20110201 Image R29D30_20110201 Image R29D31_20110201 Image R29D32_20110201 Image R29D33_20101227 Image R29D34_20101227 Image R29D35_20101227 Image R29D36_20101227 Image R29D42_20110128 Image R29D43_20110128 Image R29D44_20110128 Image R29D45_20110128 Image R29D46_20110228 Image R29D48_20110228 Image R29D49_20110228 Image R29D50_20110225 Image R29D52_20110225 Image R29D56_20110224 Image R29D58_20110223 Image R29D59_20110223 Image R29D60_20110223 Image R29D61_20110223 Image R29D62_20110221 Image R29D63_20110221 Image R29D65_20110220 Image R29D66_20110220 Image R29D67_20110220 Image R30D02_20111228 Image R30D04_20120103 Image R30D05_20120103 Image R30D06_20111218 Image R30D07_20120112 Image R30D08_20120112 Image R30D09_20120112 Image R30D10_20120112 Image R30D11_20110121 Image R30D12_20110121 Image R30D13_20110121 Image R30D14_20110122 Image R30D15_20110122 Image R30D16_20110122 Image R30D17_20110122 Image R30D18_20110123 Image R30D19_20110123 Image R30D20_20110123 Image R30D21_20110125 Image R30D22_20110125 Image R30D23_20110125 Image R30D24_20110125 Image R30D25_20110126 Image R30D26_20110126 Image R30D27_20110126 Image R30D28_20110126 Image R30D29_20110201 Image R30D30_20110201 Image R30D31_20110201 Image R30D32_20110201 Image R30D33_20101227 Image R30D34_20101227 Image R30D35_20101227 Image R30D36_20101227 Image R30D38_20110226 Image R30D40_20110226 Image R30D42_20110227 Image R30D43_20110128 Image R30D44_20110227 Image R30D45_20110128 Image R30D46_20110228 Image R30D47_20110228 Image R30D48_20110228 Image R30D50_20110225 Image R30D51_20110225 Image R30D52_20110225 Image R30D57_20110224 Image R30D58_20110223 Image R30D59_20110223 Image R30D60_20110223 Image R30D62_20110221 Image R30D64_20110221 Image R30D67_20110220 Image R31D02_20111228 Image R31D02_20120105 Image R31D04_20120103 Image R31D05_20120103 Image R31D06_20120103 Image R31D07_20120112 Image R31D08_20120112 Image R31D09_20120112 Image R31D11_20110121 Image R31D12_20110121 Image R31D13_20110121 Image R31D14_20110122 Image R31D15_20110122 Image R31D16_20110122 Image R31D17_20110122 Image R31D18_20110123 Image R31D20_20110123 Image R31D23_20110125 Image R31D24_20110125 Image R31D25_20110126 Image R31D26_20110126 Image R31D27_20110126 Image R31D28_20110201 Image R31D29_20110201 Image R31D30_20110201 Image R31D31_20110201 Image R31D32_20110201 Image R31D33_20101227 Image R31D34_20101227 Image R31D35_20101227 Image R31D36_20101227 Image R31D37_20110226 Image R31D38_20110226 Image R31D40_20110226 Image R31D42_20110227 Image R31D43_20110227 Image R31D44_20110227 Image R31D45_20110227 Image R31D46_20110228 Image R31D50_20110225 Image R31D52_20110225 Image R31D54_20110224 Image R31D55_20110224 Image R31D56_20110224 Image R31D57_20110224 Image R31D58_20110223 Image R31D59_20110223 Image R31D60_20110223 Image R31D61_20110221 Image R31D62_20110221 Image R31D63_20110221 Image R31D64_20110221 Image R31D65_20110220 Image R31D67_20110220 Image R31D69_20100806 Image R31D71_20100806 Image R31D73_20100806 Image R31D74_20100806 Image R31D75_20100806 Image R31D76_20100806 Image R32D02_20120105 Image R32D03_20120105 Image R32D04_20120103 Image R32D05_20120103 Image R32D06_20120103 Image R32D07_20120112 Image R32D08_20120112 Image R32D09_20120112 Image R32D10_20120112 Image R32D11_20110121 Image R32D12_20110121 Image R32D13_20110121 Image R32D14_20110122 Image R32D15_20110122 Image R32D16_20110122 Image R32D17_20110123 Image R32D18_20110123 Image R32D19_20110123 Image R32D20_20110123 Image R32D21_20110125 Image R32D22_20110125 Image R32D24_20110125 Image R32D25_20110126 Image R32D26_20110126 Image R32D29_20110217 Image R32D30_20110217 Image R32D31_20110217 Image R32D32_20110217 Image R32D33_20101227 Image R32D34_20101227 Image R32D35_20101227 Image R32D36_20101227 Image R32D37_20110226 Image R32D38_20110226 Image R32D39_20110226 Image R32D40_20110226 Image R32D41_20110227 Image R32D42_20110227 Image R32D43_20110227 Image R32D44_20110227 Image R32D45_20110227 Image R32D46_20110228 Image R32D47_20110228 Image R32D48_20110228 Image R32D50_20110225 Image R32D51_20110225 Image R32D54_20110224 Image R32D56_20110224 Image R32D57_20110224 Image R32D58_20110223 Image R32D60_20110223 Image R32D61_20110221 Image R32D62_20110221 Image R32D63_20110221 Image R32D64_20110220 Image R32D64_20110221 Image R32D66_20110220 Image R32D67_20110220 Image R32D68_20100806 Image R32D69_20100806 Image R32D70_20100806 Image R32D71_20100806 Image R32D72_20100806 Image R32D73_20100806 Image R32D74_20100806 Image R32D75_20100806 Image R32D76_20100806 Image R33D03_20120105 Image R33D06_20120103 Image R33D07_20120112 Image R33D08_20120112 Image R33D09_20120112 Image R33D10_20120112 Image R33D11_20100407 Image R33D12_20100407 Image R33D13_20100407 Image R33D15_20100408 Image R33D16_20100408 Image R33D17_20100408 Image R33D18_20100408 Image R33D19_20100409 Image R33D20_20100409 Image R33D21_20100409 Image R33D22_20100409 Image R33D23_20100410 Image R33D23_20100417 Image R33D25_20100410 Image R33D25_20100417 Image R33D26_20100418 Image R33D27_20100418 Image R33D28_20100418 Image R33D29_20100420 Image R33D33_20110217 Image R33D34_20110217 Image R33D35_20110217 Image R33D36_20110217 Image R33D37_20110226 Image R33D38_20110226 Image R33D39_20110226 Image R33D40_20110226 Image R33D41_20110227 Image R33D42_20110227 Image R33D43_20110227 Image R33D44_20110227 Image R33D45_20110227 Image R33D46_20110228 Image R33D48_20110228 Image R33D49_20110228 Image R33D50_20110225 Image R33D51_20110225 Image R33D52_20110225 Image R33D53_20110225 Image R33D55_20110224 Image R33D58_20110223 Image R33D59_20110223 Image R33D60_20110223 Image R33D61_20110221 Image R33D63_20110221 Image R33D64_20110220 Image R33D64_20110221 Image R33D65_20110220 Image R33D66_20110220 Image R33D68_20100806 Image R33D70_20100806 Image R33D71_20100806 Image R33D74_20100806 Image R33D75_20100806 Image R33D76_20100806 Image R34D02_20120105 Image R34D03_20120105 Image R34D04_20120214 Image R34D05_20120103 Image R34D07_20120124 Image R34D08_20120124 Image R34D09_20120124 Image R34D10_20120124 Image R34D11_20100407 Image R34D12_20100407 Image R34D13_20100407 Image R34D14_20100407 Image R34D15_20100408 Image R34D16_20100408 Image R34D17_20100408 Image R34D18_20100408 Image R34D19_20100409 Image R34D20_20100409 Image R34D21_20100409 Image R34D22_20100409 Image R34D23_20100410 Image R34D23_20100417 Image R34D24_20100410 Image R34D24_20100417 Image R34D25_20100410 Image R34D25_20100417 Image R34D26_20100418 Image R34D27_20100418 Image R34D28_20100418 Image R34D30_20100420 Image R34D31_20100420 Image R34D33_20110217 Image R34D34_20110217 Image R34D35_20110217 Image R34D36_20110217 Image R34D37_20110226 Image R34D38_20110226 Image R34D39_20110226 Image R34D40_20110226 Image R34D41_20110226 Image R34D42_20110227 Image R34D43_20110227 Image R34D44_20110227 Image R34D45_20110227 Image R34D46_20110228 Image R34D47_20110228 Image R34D48_20110228 Image R34D49_20110228 Image R34D50_20110225 Image R34D51_20110225 Image R34D52_20110225 Image R34D53_20110225 Image R34D56_20110224 Image R34D57_20110224 Image R34D58_20110223 Image R34D59_20110223 Image R34D60_20110223 Image R34D61_20110221 Image R34D63_20110221 Image R34D64_20110220 Image R34D64_20110221 Image R34D67_20110220 Image R34D68_20100806 Image R34D69_20100806 Image R34D70_20100806 Image R34D71_20100806 Image R34D72_20100806 Image R34D75_20100806 Image R34D76_20100806 Image R35D02_20120105 Image R35D03_20120105 Image R35D04_20120214 Image R35D05_20120214 Image R35D06_20120214 Image R35D07_20120124 Image R35D08_20120124 Image R35D10_20120124 Image R35D11_20100407 Image R35D12_20100407 Image R35D14_20100407 Image R35D15_20100408 Image R35D16_20100408 Image R35D17_20100408 Image R35D18_20100408 Image R35D19_20100409 Image R35D20_20100409 Image R35D21_20100409 Image R35D22_20100409 Image R35D23_20100410 Image R35D23_20100417 Image R35D24_20100410 Image R35D24_20100417 Image R35D25_20100410 Image R35D25_20100417 Image R35D26_20100418 Image R35D27_20100418 Image R35D28_20100418 Image R35D29_20100420 Image R35D30_20100420 Image R35D31_20100420 Image R35D33_20100504 Image R35D34_20110217 Image R35D35_20110217 Image R35D36_20110217 Image R35D37_20110226 Image R35D38_20110226 Image R35D39_20110226 Image R35D40_20110226 Image R35D42_20110227 Image R35D43_20110227 Image R35D44_20110227 Image R35D45_20110227 Image R35D46_20110228 Image R35D48_20110228 Image R35D49_20110225 Image R35D50_20110225 Image R35D51_20110225 Image R35D52_20110225 Image R35D53_20110224 Image R35D54_20110224 Image R35D55_20110224 Image R35D56_20110224 Image R35D57_20110223 Image R35D58_20110223 Image R35D59_20110223 Image R35D60_20110223 Image R35D61_20110221 Image R35D62_20110221 Image R35D63_20110221 Image R35D64_20110220 Image R35D65_20110220 Image R35D66_20110220 Image R35D67_20110220 Image R35D70_20100830 Image R35D72_20100830 Image R35D73_20100830 Image R35D74_20100830 Image R35D76_20100808 Image R36D02_20120131 Image R36D03_20120131 Image R36D04_20120214 Image R36D06_20120214 Image R36D07_20120124 Image R36D08_20120124 Image R36D09_20120124 Image R36D10_20120124 Image R36D11_20100407 Image R36D12_20100407 Image R36D13_20100407 Image R36D14_20100407 Image R36D15_20100408 Image R36D16_20100408 Image R36D18_20100408 Image R36D20_20100409 Image R36D21_20100409 Image R36D22_20100409 Image R36D23_20100410 Image R36D23_20100417 Image R36D24_20100410 Image R36D24_20100417 Image R36D25_20100410 Image R36D25_20100417 Image R36D26_20100418 Image R36D27_20100418 Image R36D28_20100418 Image R36D29_20100420 Image R36D30_20100420 Image R36D31_20100420 Image R36D33_20100504 Image R36D34_20110217 Image R36D35_20110217 Image R36D36_20110217 Image R36D37_20110226 Image R36D38_20110226 Image R36D39_20110226 Image R36D40_20110226 Image R36D41_20110226 Image R36D42_20110227 Image R36D43_20110227 Image R36D44_20110227 Image R36D45_20110227 Image R36D46_20110228 Image R36D49_20110225 Image R36D50_20110225 Image R36D51_20110225 Image R36D52_20110225 Image R36D53_20110224 Image R36D54_20110224 Image R36D55_20110224 Image R36D56_20110224 Image R36D57_20110223 Image R36D59_20110223 Image R36D60_20110223 Image R36D61_20110221 Image R36D62_20110221 Image R36D63_20110221 Image R36D64_20110220 Image R36D65_20110220 Image R36D66_20110220 Image R36D67_20110220 Image R36D70_20100830 Image R36D71_20100830 Image R36D72_20100830 Image R36D75_20100808 Image R36D75_20100830 Image R37D02_20120131 Image R37D03_20120131 Image R37D04_20120214 Image R37D06_20120214 Image R37D08_20120124 Image R37D09_20120124 Image R37D10_20120124 Image R37D11_20100428 Image R37D12_20100428 Image R37D13_20100428 Image R37D14_20100428 Image R37D15_20100429 Image R37D17_20100429 Image R37D19_20100512 Image R37D20_20100512 Image R37D22_20100512 Image R37D23_20100410 Image R37D23_20100417 Image R37D24_20100410 Image R37D25_20100410 Image R37D25_20100417 Image R37D26_20100418 Image R37D27_20100418 Image R37D29_20100514 Image R37D31_20100504 Image R37D32_20100504 Image R37D33_20100504 Image R37D34_20100516 Image R37D35_20100516 Image R37D37_20100517 Image R37D38_20100517 Image R37D40_20100526 Image R37D41_20100526 Image R37D42_20100526 Image R37D44_20100527 Image R37D56_20110414 Image R37D57_20110414 Image R37D58_20110414 Image R37D59_20110415 Image R37D60_20110415 Image R37D61_20110415 Image R37D63_20110415 Image R37D65_20110416 Image R37D66_20110416 Image R37D67_20110416 Image R38D02_20120131 Image R38D03_20120131 Image R38D04_20120214 Image R38D05_20120214 Image R38D06_20120214 Image R38D07_20120124 Image R38D08_20120124 Image R38D09_20120124 Image R38D10_20120124 Image R38D11_20100428 Image R38D12_20100428 Image R38D13_20100428 Image R38D14_20100428 Image R38D15_20100429 Image R38D16_20100429 Image R38D17_20100429 Image R38D18_20100429 Image R38D20_20100512 Image R38D21_20100512 Image R38D22_20100512 Image R38D23_20100410 Image R38D23_20100417 Image R38D24_20100410 Image R38D24_20100417 Image R38D25_20100410 Image R38D25_20100417 Image R38D26_20100418 Image R38D27_20100418 Image R38D28_20100418 Image R38D30_20100504 Image R38D31_20100504 Image R38D32_20100504 Image R38D33_20100504 Image R38D34_20100516 Image R38D35_20100516 Image R38D36_20100516 Image R38D38_20100517 Image R38D39_20100517 Image R38D43_20100527 Image R38D44_20100527 Image R38D46_20100529 Image R38D55_20110414 Image R38D60_20110415 Image R38D61_20110415 Image R38D64_20110416 Image R38D65_20110416 Image R38D66_20110416 Image R38D67_20110416 Image R39D02_20120131 Image R39D03_20120131 Image R39D04_20120216 Image R39D05_20120216 Image R39D06_20120216 Image R39D07_20120217 Image R39D08_20120217 Image R39D10_20120217 Image R39D11_20100428 Image R39D12_20100428 Image R39D13_20100428 Image R39D14_20100428 Image R39D15_20100429 Image R39D16_20100429 Image R39D17_20100429 Image R39D18_20100429 Image R39D20_20100512 Image R39D21_20100512 Image R39D22_20100512 Image R39D23_20100514 Image R39D29_20100514 Image R39D30_20100504 Image R39D31_20100504 Image R39D32_20100504 Image R39D33_20100504 Image R39D34_20100516 Image R39D35_20100516 Image R39D37_20100517 Image R39D38_20100517 Image R39D39_20100517 Image R39D40_20100526 Image R39D46_20100529 Image R39D47_20100529 Image R39D54_20110414 Image R39D56_20110414 Image R39D57_20110414 Image R39D59_20110415 Image R39D61_20110415 Image R39D63_20110416 Image R39D64_20110416 Image R39D67_20110416 Image R40D02_20120131 Image R40D03_20120131 Image R40D04_20120216 Image R40D05_20120216 Image R40D06_20120216 Image R40D08_20120217 Image R40D09_20120217 Image R40D10_20120217 Image R40D11_20100428 Image R40D13_20100428 Image R40D14_20100428 Image R40D15_20100429 Image R40D16_20100429 Image R40D17_20100429 Image R40D18_20100429 Image R40D19_20100512 Image R40D20_20100512 Image R40D21_20100512 Image R40D22_20100512 Image R40D30_20100504 Image R40D31_20100504 Image R40D32_20100504 Image R40D33_20100504 Image R40D37_20100517 Image R40D39_20100517 Image R40D40_20100526 Image R40D41_20100526 Image R40D46_20100529 Image R40D54_20110414 Image R40D59_20110415 Image R40D63_20110416 Image R40D65_20110416 Image R40D66_20110416 Image R41D02_20120222 Image R41D03_20120222 Image R41D04_20120216 Image R41D08_20120217 Image R41D09_20120217 Image R41D11_20100604 Image R41D12_20100604 Image R41D13_20100604 Image R41D14_20100604 Image R41D15_20100605 Image R41D16_20100605 Image R41D17_20100605 Image R41D18_20100605 Image R41D19_20100605 Image R41D21_20100606 Image R41D23_20100606 Image R41D24_20100622 Image R41D25_20100622 Image R41D26_20100622 Image R41D27_20100622 Image R41D30_20100623 Image R41D31_20100623 Image R41D33_20100613 Image R41D34_20100516 Image R41D35_20100516 Image R41D36_20100516 Image R41D37_20100517 Image R41D39_20100517 Image R41D40_20100526 Image R41D41_20100526 Image R41D42_20100526 Image R41D44_20100527 Image R41D46_20100529 Image R41D48_20100529 Image R41D52_20100715 Image R41D53_20100715 Image R41D54_20100715 Image R41D55_20100715 Image R41D56_20110414 Image R41D57_20110414 Image R41D64_20110416 Image R41D66_20110416 Image R42D02_20120222 Image R42D03_20120222 Image R42D04_20120216 Image R42D05_20120216 Image R42D06_20120216 Image R42D07_20120217 Image R42D08_20120217 Image R42D09_20120217 Image R42D10_20120217 Image R42D11_20100604 Image R42D12_20100604 Image R42D13_20100604 Image R42D14_20100604 Image R42D15_20100605 Image R42D16_20100605 Image R42D17_20100605 Image R42D18_20100605 Image R42D19_20100605 Image R42D20_20100606 Image R42D21_20100606 Image R42D22_20100606 Image R42D23_20100606 Image R42D26_20100622 Image R42D27_20100622 Image R42D28_20100622 Image R42D29_20100623 Image R42D32_20100623 Image R42D34_20100516 Image R42D35_20100516 Image R42D36_20100516 Image R42D37_20100517 Image R42D38_20100517 Image R42D39_20100517 Image R42D40_20100526 Image R42D41_20100526 Image R42D42_20100526 Image R42D43_20100527 Image R42D44_20100527 Image R42D46_20100529 Image R42D47_20100529 Image R42D48_20100529 Image R42D52_20100715 Image R42D53_20100715 Image R42D56_20110414 Image R42D57_20110414 Image R42D63_20110416 Image R42D64_20110416 Image R42D65_20110416 Image R42D67_20110416 Image R43D02_20120222 Image R43D03_20120222 Image R43D04_20110510 Image R43D05_20110510 Image R43D06_20110510 Image R43D07_20110426 Image R43D07_20120217 Image R43D08_20110426 Image R43D08_20120217 Image R43D09_20110426 Image R43D09_20120217 Image R43D10_20110426 Image R43D10_20120217 Image R43D12_20100604 Image R43D13_20100604 Image R43D14_20100604 Image R43D15_20100605 Image R43D16_20100605 Image R43D18_20100605 Image R43D19_20100606 Image R43D20_20100606 Image R43D21_20100606 Image R43D22_20100606 Image R43D23_20100606 Image R43D24_20100622 Image R43D25_20100622 Image R43D26_20100622 Image R43D28_20100623 Image R43D29_20100623 Image R43D46_20100618 Image R43D47_20100618 Image R43D48_20100618 Image R43D50_20100619 Image R43D51_20100619 Image R43D53_20100715 Image R44D02_20120222 Image R44D03_20120222 Image R44D04_20110510 Image R44D05_20110510 Image R44D06_20110510 Image R44D07_20110426 Image R44D08_20110426 Image R44D09_20110426 Image R44D10_20110426 Image R44D11_20100604 Image R44D12_20100604 Image R44D13_20100604 Image R44D14_20100604 Image R44D15_20100605 Image R44D16_20100605 Image R44D17_20100605 Image R44D18_20100605 Image R44D20_20100606 Image R44D21_20100606 Image R44D22_20100606 Image R44D23_20100606 Image R44D24_20100622 Image R44D25_20100622 Image R44D26_20100622 Image R44D27_20100622 Image R44D28_20100623 Image R44D29_20100623 Image R44D30_20100623 Image R44D31_20100623 Image R44D32_20100623 Image R44D46_20100618 Image R44D47_20100618 Image R44D48_20100618 Image R44D49_20100619 Image R44D56_20110509 Image R44D57_20110414 Image R44D59_20110415 Image R44D60_20110509 Image R44D63_20110416 Image R44D64_20110508 Image R45D02_20120222 Image R45D03_20120222 Image R45D04_20110510 Image R45D05_20110510 Image R45D06_20110510 Image R45D07_20110426 Image R45D08_20110426 Image R45D09_20110426 Image R45D10_20110426 Image R45D11_20100624 Image R45D13_20100624 Image R45D14_20100624 Image R45D15_20100624 Image R45D16_20100624 Image R45D17_20100625 Image R45D18_20100625 Image R45D19_20100625 Image R45D20_20100625 Image R45D21_20100625 Image R45D22_20100625 Image R45D23_20100629 Image R45D24_20100629 Image R45D25_20100629 Image R45D26_20100629 Image R45D27_20100629 Image R45D28_20100629 Image R45D30_20100704 Image R45D46_20100618 Image R45D47_20100618 Image R45D48_20100618 Image R45D50_20100619 Image R45D51_20100619 Image R45D56_20110509 Image R45D57_20110509 Image R45D58_20110509 Image R45D59_20110509 Image R45D61_20110508 Image R45D62_20110508 Image R45D63_20110508 Image R45D64_20110508 Image R45D65_20110508 Image R45D66_20110508 Image R45D67_20110508 Image R46D02_20110513 Image R46D03_20110513 Image R46D04_20110510 Image R46D05_20110510 Image R46D06_20110510 Image R46D07_20110517 Image R46D09_20110517 Image R46D10_20110517 Image R46D13_20100624 Image R46D14_20100624 Image R46D16_20100624 Image R46D17_20100625 Image R46D18_20100625 Image R46D20_20100625 Image R46D21_20100625 Image R46D22_20100625 Image R46D23_20100629 Image R46D24_20100629 Image R46D25_20100629 Image R46D27_20100629 Image R46D28_20100629 Image R46D46_20100618 Image R46D47_20100618 Image R46D48_20100618 Image R46D49_20100619 Image R46D51_20100619 Image R46D56_20110509 Image R46D57_20110509 Image R46D58_20110509 Image R46D59_20110509 Image R46D60_20110509 Image R46D62_20110508 Image R46D63_20110508 Image R46D64_20110508 Image R46D65_20110508 Image R46D66_20110508 Image R46D67_20110508 Image R47D02_20110513 Image R47D03_20110513 Image R47D04_20110516 Image R47D05_20110516 Image R47D06_20110516 Image R47D07_20110517 Image R47D09_20110517 Image R47D10_20110517 Image R47D11_20100624 Image R47D12_20100624 Image R47D13_20100624 Image R47D14_20100624 Image R47D15_20100624 Image R47D16_20100624 Image R47D17_20100625 Image R47D18_20100625 Image R47D19_20100625 Image R47D20_20100625 Image R47D21_20100625 Image R47D22_20100625 Image R47D23_20100629 Image R47D24_20100629 Image R47D25_20100629 Image R47D27_20100629 Image R47D30_20100704 Image R47D33_20100704 Image R47D34_20100705 Image R47D47_20100618 Image R47D48_20100618 Image R47D49_20100619 Image R47D50_20100619 Image R47D51_20100619 Image R47D57_20110509 Image R47D58_20110509 Image R47D62_20110508 Image R47D63_20110508 Image R47D64_20110508 Image R47D65_20110508 Image R47D66_20110508 Image R47D67_20110508 Image R48D02_20110513 Image R48D03_20110513 Image R48D04_20110516 Image R48D05_20110516 Image R48D06_20110516 Image R48D07_20110517 Image R48D08_20110517 Image R48D09_20110517 Image R48D10_20110517 Image R48D11_20100407 Image R48D12_20100407 Image R48D13_20100407 Image R48D14_20100407 Image R48D15_20100408 Image R48D16_20100408 Image R48D17_20100408 Image R48D18_20100409 Image R48D19_20100409 Image R48D21_20100417 Image R48D22_20100410 Image R48D22_20100417 Image R48D23_20100410 Image R48D23_20100417 Image R48D24_20100410 Image R48D24_20100417 Image R48D25_20100418 Image R48D26_20100418 Image R48D27_20100418 Image R48D28_20100418 Image R48D29_20100420 Image R48D30_20100420 Image R48D31_20100420 Image R48D32_20100704 Image R48D33_20100704 Image R48D34_20100705 Image R48D35_20100705 Image R48D36_20100705 Image R48D39_20100707 Image R48D40_20100707 Image R48D41_20100707 Image R48D42_20100708 Image R48D46_20100618 Image R48D47_20100618 Image R48D48_20100618 Image R48D49_20100619 Image R48D50_20100619 Image R48D51_20100619 Image R48D56_20110509 Image R48D57_20110509 Image R48D59_20110509 Image R48D64_20110508 Image R48D66_20110508 Image R48D67_20110508 Image R49D04_20110516 Image R49D05_20110516 Image R49D06_20110516 Image R49D11_20100407 Image R49D12_20100407 Image R49D13_20100407 Image R49D14_20100407 Image R49D15_20100408 Image R49D16_20100408 Image R49D17_20100408 Image R49D18_20100409 Image R49D19_20100409 Image R49D20_20100409 Image R49D21_20100410 Image R49D21_20100417 Image R49D22_20100417 Image R49D23_20100410 Image R49D23_20100417 Image R49D24_20100410 Image R49D24_20100417 Image R49D25_20100418 Image R49D26_20100418 Image R49D27_20100418 Image R49D28_20100418 Image R49D29_20100420 Image R49D30_20100420 Image R49D31_20100420 Image R49D32_20100704 Image R49D33_20100704 Image R49D34_20100705 Image R49D35_20100705 Image R49D36_20100705 Image R49D38_20100705 Image R49D39_20100707 Image R49D40_20100707 Image R49D41_20100707 Image R49D42_20100708 Image R49D44_20100708 Image R49D45_20100708 Image R49D46_20100709 Image R49D47_20100709 Image R49D52_20100710 Image R49D57_20110509 Image R49D58_20110509 Image R49D59_20110509 Image R49D62_20110508 Image R49D63_20110508 Image R49D64_20110508 Image R49D65_20110508 Image R49D66_20110508 Image R49D67_20110508 Image R50D10_20110528 Image R50D11_20100407 Image R50D12_20100407 Image R50D13_20100407 Image R50D14_20100407 Image R50D16_20100408 Image R50D17_20100408 Image R50D18_20100409 Image R50D19_20100409 Image R50D21_20100410 Image R50D21_20100417 Image R50D22_20100410 Image R50D22_20100417 Image R50D23_20100410 Image R50D23_20100417 Image R50D24_20100410 Image R50D24_20100417 Image R50D25_20100418 Image R50D26_20100418 Image R50D27_20100418 Image R50D28_20100418 Image R50D29_20100420 Image R50D30_20100420 Image R50D34_20100705 Image R50D35_20100705 Image R50D36_20100705 Image R50D38_20100705 Image R50D43_20100708 Image R50D44_20100708 Image R50D45_20100708 Image R50D46_20100709 Image R50D47_20100709 Image R50D48_20100709 Image R50D49_20100710 Image R50D50_20100710 Image R50D51_20100710 Image R50D52_20100710 Image R50D56_20110616 Image R50D57_20110509 Image R50D59_20110509 Image R50D61_20110509 Image R50D62_20110525 Image R50D63_20110525 Image R50D64_20110525 Image R50D65_20110525 Image R50D66_20110525 Image R50D67_20110525 Image R51D11_20100407 Image R51D12_20100407 Image R51D13_20100407 Image R51D14_20100407 Image R51D15_20100408 Image R51D16_20100408 Image R51D17_20100408 Image R51D18_20100409 Image R51D19_20100409 Image R51D21_20100410 Image R51D21_20100417 Image R51D22_20100410 Image R51D22_20100417 Image R51D23_20100410 Image R51D23_20100417 Image R51D24_20100410 Image R51D24_20100417 Image R51D25_20100418 Image R51D26_20100418 Image R51D27_20100418 Image R51D28_20100418 Image R51D29_20100420 Image R51D30_20100420 Image R51D31_20100420 Image R51D32_20100704 Image R51D35_20100707 Image R51D37_20100707 Image R51D38_20100705 Image R51D39_20100707 Image R51D41_20100708 Image R51D42_20100708 Image R51D44_20100708 Image R51D45_20100708 Image R51D46_20100709 Image R51D47_20100709 Image R51D48_20100709 Image R51D54_20100714 Image R51D56_20110616 Image R51D58_20110616 Image R51D59_20110616 Image R51D61_20110525 Image R51D62_20110525 Image R51D63_20110525 Image R51D64_20110525 Image R51D65_20110525 Image R51D66_20110525 Image R52D11_20100428 Image R52D12_20100428 Image R52D14_20100428 Image R52D15_20100408 Image R52D16_20100408 Image R52D17_20100408 Image R52D18_20100409 Image R52D19_20100409 Image R52D20_20100409 Image R52D21_20100429 Image R52D22_20100512 Image R52D24_20100512 Image R52D25_20100512 Image R52D29_20100420 Image R52D30_20100420 Image R52D32_20100504 Image R52D33_20100504 Image R52D33_20100516 Image R52D34_20100516 Image R52D36_20100517 Image R52D37_20100517 Image R52D38_20100707 Image R52D39_20100707 Image R52D46_20100709 Image R52D47_20100709 Image R52D48_20100709 Image R52D49_20100710 Image R52D50_20100710 Image R52D51_20100710 Image R52D53_20100714 Image R52D54_20100714 Image R52D55_20100714 Image R52D57_20110616 Image R52D59_20110616 Image R52D60_20110616 Image R52D61_20110525 Image R52D62_20110525 Image R52D66_20110525 Image R52D67_20110525 Image R53D02_20110513 Image R53D03_20110513 Image R53D11_20100428 Image R53D14_20100428 Image R53D15_20100408 Image R53D16_20100408 Image R53D17_20100408 Image R53D18_20100409 Image R53D19_20100409 Image R53D20_20100409 Image R53D21_20100429 Image R53D22_20100512 Image R53D23_20100512 Image R53D24_20100512 Image R53D25_20100512 Image R53D29_20100420 Image R53D30_20100420 Image R53D31_20100420 Image R53D34_20100516 Image R53D35_20100517 Image R53D36_20100517 Image R53D37_20100517 Image R53D38_20100707 Image R53D39_20100707 Image R53D40_20100707 Image R53D42_20100529 Image R53D43_20100529 Image R53D44_20100529 Image R53D47_20100709 Image R53D48_20100709 Image R53D49_20100711 Image R53D50_20100711 Image R53D52_20100711 Image R53D53_20100714 Image R53D54_20100714 Image R53D55_20100714 Image R53D56_20110616 Image R53D58_20110616 Image R53D59_20110616 Image R53D60_20110616 Image R53D62_20110525 Image R53D63_20110525 Image R53D64_20110525 Image R53D65_20110525 Image R53D66_20110525 Image R53D67_20110525 Image R54D02_20110513 Image R54D03_20110513 Image R54D11_20100428 Image R54D12_20100428 Image R54D15_20100429 Image R54D17_20100429 Image R54D19_20100429 Image R54D21_20100429 Image R54D22_20100512 Image R54D23_20100512 Image R54D24_20100512 Image R54D25_20100512 Image R54D31_20100514 Image R54D32_20100516 Image R54D33_20100516 Image R54D34_20100516 Image R54D36_20100517 Image R54D38_20100707 Image R54D39_20100707 Image R54D40_20100707 Image R54D42_20100529 Image R54D43_20100529 Image R54D44_20100529 Image R54D47_20100709 Image R54D49_20100711 Image R54D50_20100711 Image R54D51_20100711 Image R54D52_20100711 Image R54D53_20100714 Image R54D54_20100714 Image R54D55_20100714 Image R54D56_20110616 Image R54D60_20110616 Image R54D61_20110525 Image R54D63_20110708 Image R54D64_20110708 Image R54D65_20110708 Image R54D67_20110708 Image R55D02_20110513 Image R55D03_20110513 Image R55D05_20110510 Image R55D06_20110510 Image R55D07_20110426 Image R55D08_20110426 Image R55D09_20110426 Image R55D10_20110426 Image R55D11_20100428 Image R55D12_20100428 Image R55D13_20100428 Image R55D14_20100428 Image R55D15_20100429 Image R55D20_20100429 Image R55D21_20100429 Image R55D22_20100512 Image R55D23_20100512 Image R55D24_20100512 Image R55D25_20100512 Image R55D29_20100514 Image R55D30_20100514 Image R55D32_20100516 Image R55D33_20100516 Image R55D34_20100516 Image R55D35_20100517 Image R55D36_20100517 Image R55D37_20100517 Image R55D38_20100526 Image R55D39_20100526 Image R55D40_20100526 Image R55D41_20100527 Image R55D42_20100527 Image R55D43_20100527 Image R55D45_20100529 Image R55D50_20100711 Image R55D51_20100711 Image R55D52_20100711 Image R55D53_20100714 Image R55D54_20100714 Image R55D55_20100714 Image R55D63_20110708 Image R55D64_20110708 Image R55D65_20110708 Image R55D66_20110708 Image R56D04_20110510 Image R56D05_20110510 Image R56D06_20110510 Image R56D07_20110426 Image R56D08_20110426 Image R56D09_20110426 Image R56D10_20110426 Image R56D11_20100604 Image R56D12_20100604 Image R56D13_20100604 Image R56D14_20100604 Image R56D15_20100605 Image R56D16_20100605 Image R56D17_20100605 Image R56D19_20100605 Image R56D20_20100606 Image R56D21_20100606 Image R56D23_20100606 Image R56D27_20100504 Image R56D29_20100504 Image R56D30_20100504 Image R56D30_20100515 Image R56D31_20100504 Image R56D33_20100516 Image R56D34_20100516 Image R56D35_20100517 Image R56D37_20100517 Image R56D38_20100526 Image R56D39_20100526 Image R56D41_20100527 Image R56D43_20100527 Image R56D44_20100529 Image R56D45_20100529 Image R56D49_20100711 Image R56D53_20100714 Image R56D54_20100714 Image R56D55_20100714 Image R56D58_20100716 Image R56D59_20100716 Image R56D60_20100717 Image R56D61_20100717 Image R56D62_20100717 Image R56D63_20100717 Image R56D64_20100718 Image R56D66_20100718 Image R56D67_20100718 Image R57D02_20110618 Image R57D03_20110618 Image R57D04_20110510 Image R57D05_20110510 Image R57D06_20110510 Image R57D07_20110426 Image R57D08_20110426 Image R57D09_20110426 Image R57D10_20110426 Image R57D12_20100604 Image R57D14_20100604 Image R57D15_20100605 Image R57D16_20100605 Image R57D17_20100605 Image R57D19_20100605 Image R57D21_20100606 Image R57D22_20100606 Image R57D23_20100606 Image R57D24_20100622 Image R57D25_20100622 Image R57D26_20100504 Image R57D30_20100515 Image R57D33_20100516 Image R57D35_20100517 Image R57D37_20100517 Image R57D52_20100815 Image R57D54_20100721 Image R57D54_20100815 Image R57D55_20100721 Image R57D55_20100815 Image R57D60_20100717 Image R57D61_20100717 Image R57D61_20110808 Image R57D62_20110808 Image R57D63_20100717 Image R57D64_20100718 Image R57D65_20100718 Image R57D66_20100718 Image R57D67_20100718 Image R58D02_20110618 Image R58D02_20110807 Image R58D03_20110618 Image R58D03_20110807 Image R58D05_20110510 Image R58D06_20110510 Image R58D07_20110517 Image R58D08_20110517 Image R58D09_20110517 Image R58D10_20110517 Image R58D11_20100604 Image R58D12_20100604 Image R58D13_20100604 Image R58D14_20100604 Image R58D15_20100605 Image R58D16_20100605 Image R58D17_20100605 Image R58D18_20100605 Image R58D20_20100606 Image R58D21_20100606 Image R58D22_20100606 Image R58D23_20100606 Image R58D24_20100622 Image R58D25_20100622 Image R58D26_20100622 Image R58D27_20100622 Image R58D28_20100623 Image R58D29_20100623 Image R58D30_20100623 Image R58D32_20100516 Image R58D39_20100526 Image R58D41_20100527 Image R58D45_20100529 Image R58D52_20100721 Image R58D52_20100815 Image R58D53_20100815 Image R58D54_20100721 Image R58D54_20100815 Image R58D55_20100721 Image R58D55_20100815 Image R58D60_20100717 Image R58D61_20100717 Image R58D62_20100717 Image R58D64_20100718 Image R58D64_20110808 Image R58D65_20100718 Image R58D66_20100718 Image R58D67_20100718 Image R59D02_20110618 Image R59D02_20110807 Image R59D03_20110618 Image R59D03_20110807 Image R59D04_20110516 Image R59D05_20110516 Image R59D06_20110516 Image R59D07_20110517 Image R59D08_20110517 Image R59D09_20110517 Image R59D11_20100604 Image R59D12_20100604 Image R59D13_20100604 Image R59D14_20100604 Image R59D15_20100605 Image R59D16_20100605 Image R59D17_20100605 Image R59D18_20100605 Image R59D19_20100606 Image R59D20_20100606 Image R59D22_20100606 Image R59D23_20100606 Image R59D24_20100622 Image R59D25_20100622 Image R59D26_20100622 Image R59D27_20100622 Image R59D28_20100623 Image R59D29_20100623 Image R59D30_20100623 Image R59D32_20100516 Image R59D34_20100613 Image R59D36_20100614 Image R59D38_20100526 Image R59D39_20100526 Image R59D49_20100618 Image R59D52_20100721 Image R59D52_20100815 Image R59D53_20100721 Image R59D53_20100815 Image R59D54_20100815 Image R59D55_20100815 Image R59D56_20100716 Image R59D57_20110808 Image R59D58_20100716 Image R59D58_20110808 Image R59D60_20100717 Image R59D60_20110808 Image R59D61_20100717 Image R59D62_20100717 Image R59D63_20100717 Image R59D64_20110808 Image R59D65_20100718 Image R60D02_20110513 Image R60D03_20110513 Image R60D03_20110807 Image R60D04_20110516 Image R60D05_20110516 Image R60D06_20110516 Image R60D07_20110517 Image R60D08_20110517 Image R60D09_20110517 Image R60D10_20110517 Image R60D11_20100624 Image R60D12_20100624 Image R60D13_20100624 Image R60D14_20100625 Image R60D15_20100625 Image R60D16_20100625 Image R60D17_20100629 Image R60D18_20100629 Image R60D19_20100629 Image R60D20_20100704 Image R60D21_20100704 Image R60D22_20100622 Image R60D23_20100622 Image R60D24_20100622 Image R60D25_20100622 Image R60D27_20100622 Image R60D28_20100623 Image R60D29_20100623 Image R60D30_20100623 Image R60D31_20100613 Image R60D32_20100613 Image R60D33_20100613 Image R60D34_20100613 Image R60D38_20100526 Image R60D40_20100526 Image R60D42_20100527 Image R60D49_20100618 Image R60D52_20100721 Image R60D52_20100815 Image R60D53_20100721 Image R60D53_20100815 Image R60D54_20100721 Image R60D54_20100815 Image R60D55_20100721 Image R60D55_20100815 Image R60D57_20110808 Image R60D58_20100716 Image R60D61_20110808 Image R60D62_20100717 Image R60D63_20100717 Image R60D63_20110808 Image R60D64_20100718 Image R60D65_20100718 Image R60D66_20100718 Image R60D67_20100718 Image R61D02_20110513 Image R61D02_20110807 Image R61D03_20110513 Image R61D03_20110807 Image R61D04_20110516 Image R61D05_20110516 Image R61D06_20110516 Image R61D07_20110528 Image R61D09_20110528 Image R61D10_20110528 Image R61D11_20100624 Image R61D12_20100624 Image R61D13_20100624 Image R61D15_20100625 Image R61D16_20100625 Image R61D17_20100629 Image R61D19_20100629 Image R61D20_20100704 Image R61D21_20100704 Image R61D23_20100623 Image R61D24_20100623 Image R61D26_20100623 Image R61D27_20100623 Image R61D28_20100623 Image R61D30_20100623 Image R61D31_20100613 Image R61D32_20100613 Image R61D33_20100613 Image R61D34_20100613 Image R61D35_20100613 Image R61D49_20100618 Image R61D52_20100721 Image R61D52_20100815 Image R61D53_20100721 Image R61D53_20100815 Image R61D54_20100721 Image R61D54_20100815 Image R61D61_20100717 Image R61D61_20110808 Image R61D62_20100717 Image R61D63_20100717 Image R61D63_20110808 Image R61D64_20100718 Image R61D65_20100718 Image R61D66_20100718 Image R61D67_20100718 Image R62D02_20110513 Image R62D02_20110804 Image R62D03_20110513 Image R62D03_20110804 Image R62D06_20110617 Image R62D07_20110528 Image R62D08_20110528 Image R62D09_20110528 Image R62D10_20110528 Image R62D11_20100624 Image R62D12_20100624 Image R62D13_20100624 Image R62D14_20100625 Image R62D17_20100629 Image R62D18_20100629 Image R62D19_20100629 Image R62D20_20100704 Image R62D21_20100704 Image R62D22_20100704 Image R62D23_20100704 Image R62D25_20100705 Image R62D26_20100705 Image R62D27_20100705 Image R62D28_20100705 Image R62D29_20100705 Image R62D30_20100705 Image R62D46_20100618 Image R62D47_20100618 Image R62D48_20100618 Image R62D52_20100721 Image R62D52_20100815 Image R62D53_20100721 Image R62D53_20100815 Image R62D55_20100721 Image R62D55_20100815 Image R62D56_20100716 Image R62D60_20100717 Image R62D63_20100717 Image R62D64_20100718 Image R62D65_20100718 Image R62D66_20100718 Image R62D67_20100718 Image R63D02_20110618 Image R63D02_20110804 Image R63D03_20110618 Image R63D03_20110804 Image R63D07_20110528 Image R63D08_20110528 Image R63D09_20110528 Image R63D11_20100624 Image R63D12_20100624 Image R63D13_20100624 Image R63D14_20100625 Image R63D15_20100625 Image R63D16_20100625 Image R63D17_20100629 Image R63D18_20100629 Image R63D19_20100629 Image R63D20_20100704 Image R63D21_20100704 Image R63D22_20100704 Image R63D23_20100704 Image R63D28_20100705 Image R63D29_20100705 Image R63D31_20100713 Image R63D46_20100618 Image R63D47_20100618 Image R63D49_20100618 Image R63D52_20100721 Image R63D53_20100721 Image R63D53_20100815 Image R63D54_20100815 Image R63D55_20100815 Image R63D58_20100716 Image R63D60_20100717 Image R63D64_20100718 Image R63D65_20100718 Image R63D67_20100718 Image R64D02_20110618 Image R64D02_20110804 Image R64D03_20110618 Image R64D03_20110804 Image R64D11_20100624 Image R64D12_20100624 Image R64D13_20100624 Image R64D14_20100625 Image R64D15_20100625 Image R64D16_20100625 Image R64D17_20100629 Image R64D18_20100629 Image R64D19_20100629 Image R64D20_20100704 Image R64D21_20100704 Image R64D22_20100704 Image R64D23_20100704 Image R64D24_20100704 Image R64D25_20100705 Image R64D27_20100705 Image R64D28_20100705 Image R64D29_20100705 Image R64D31_20100713 Image R64D32_20100713 Image R64D38_20100825 Image R64D39_20100825 Image R64D40_20100819 Image R64D46_20100618 Image R64D47_20100618 Image R64D49_20100618 Image R64D53_20100721 Image R64D54_20100815 Image R64D55_20100815 Image R64D60_20100717 Image R64D61_20100717 Image R64D64_20100718 Image R64D65_20100718 Image R64D66_20100718 Image R64D67_20100718 Image R65D02_20110827 Image R65D03_20110827 Image R65D11_20100624 Image R65D13_20100624 Image R65D14_20100625 Image R65D15_20100625 Image R65D16_20100625 Image R65D17_20100629 Image R65D18_20100629 Image R65D19_20100629 Image R65D20_20100709 Image R65D22_20100710 Image R65D23_20100710 Image R65D24_20100710 Image R65D26_20100711 Image R65D27_20100711 Image R65D28_20100711 Image R65D29_20100711 Image R65D31_20100713 Image R65D32_20100713 Image R65D34_20100714 Image R65D35_20100715 Image R65D36_20100715 Image R65D37_20100715 Image R65D38_20100825 Image R65D39_20100825 Image R65D40_20100819 Image R65D41_20100819 Image R65D42_20100819 Image R65D50_20100814 Image R65D51_20100814 Image R65D52_20100813 Image R65D53_20100813 Image R65D54_20100721 Image R65D54_20100813 Image R65D55_20100721 Image R65D55_20100813 Image R65D56_20100812 Image R65D57_20100812 Image R65D58_20100812 Image R65D59_20100812 Image R65D60_20100809 Image R65D61_20100809 Image R65D62_20100809 Image R65D63_20100809 Image R65D64_20100807 Image R65D66_20100807 Image R65D67_20100807 Image R66D04_20110706 Image R66D06_20110706 Image R66D11_20100707 Image R66D14_20100707 Image R66D16_20100708 Image R66D18_20100709 Image R66D19_20100709 Image R66D21_20100709 Image R66D22_20100710 Image R66D23_20100710 Image R66D24_20100710 Image R66D25_20100710 Image R66D26_20100711 Image R66D27_20100711 Image R66D29_20100713 Image R66D32_20100714 Image R66D36_20100715 Image R66D37_20100715 Image R66D38_20100825 Image R66D39_20100825 Image R66D40_20100819 Image R66D41_20100819 Image R66D50_20100814 Image R66D52_20100813 Image R66D53_20100813 Image R66D54_20100813 Image R66D55_20100813 Image R66D57_20100812 Image R66D58_20100812 Image R66D59_20100812 Image R66D61_20100809 Image R66D62_20100809 Image R66D63_20100809 Image R66D64_20100807 Image R66D65_20100807 Image R66D66_20100807 Image R66D67_20100807 Image R67D04_20110706 Image R67D07_20110728 Image R67D08_20110728 Image R67D09_20110728 Image R67D13_20100707 Image R67D14_20100707 Image R67D16_20100708 Image R67D17_20100708 Image R67D18_20100709 Image R67D19_20100709 Image R67D20_20100709 Image R67D21_20100709 Image R67D22_20100710 Image R67D23_20100710 Image R67D24_20100710 Image R67D28_20100711 Image R67D29_20100713 Image R67D30_20100713 Image R67D31_20100713 Image R67D32_20100714 Image R67D33_20100714 Image R67D35_20100715 Image R67D36_20100715 Image R67D37_20100715 Image R67D38_20100825 Image R67D39_20100825 Image R67D40_20100819 Image R67D41_20100819 Image R67D42_20100819 Image R67D49_20100814 Image R67D51_20100814 Image R67D52_20100813 Image R67D54_20100813 Image R67D55_20100813 Image R67D57_20100812 Image R67D58_20100812 Image R67D59_20100812 Image R67D60_20100809 Image R67D62_20100809 Image R67D63_20100809 Image R67D64_20100807 Image R67D65_20100807 Image R67D66_20100807 Image R67D67_20100807 Image R68D04_20110706 Image R68D06_20110706 Image R68D06_20110829 Image R68D07_20110728 Image R68D09_20110728 Image R68D10_20110728 Image R68D11_20100707 Image R68D12_20100707 Image R68D14_20100708 Image R68D15_20100708 Image R68D16_20100708 Image R68D17_20100708 Image R68D18_20100709 Image R68D21_20100709 Image R68D22_20100710 Image R68D23_20100710 Image R68D24_20100710 Image R68D25_20100711 Image R68D26_20100711 Image R68D27_20100711 Image R68D28_20100711 Image R68D29_20100713 Image R68D30_20100713 Image R68D31_20100713 Image R68D33_20100714 Image R68D34_20100714 Image R68D35_20100715 Image R68D36_20100715 Image R68D37_20100715 Image R68D39_20100825 Image R68D40_20100819 Image R68D41_20100819 Image R68D42_20100819 Image R68D47_20100817 Image R68D48_20100817 Image R68D50_20100814 Image R68D53_20100813 Image R68D55_20100813 Image R68D56_20100812 Image R68D57_20100812 Image R68D58_20100812 Image R68D59_20100812 Image R68D60_20100809 Image R68D63_20100809 Image R68D64_20100807 Image R68D65_20100807 Image R68D67_20100807 Image R69D02_20110807 Image R69D03_20110807 Image R69D05_20110731 Image R69D05_20110829 Image R69D07_20110728 Image R69D07_20110730 Image R69D08_20110728 Image R69D08_20110730 Image R69D08_20110901 Image R69D09_20110728 Image R69D09_20110730 Image R69D09_20110901 Image R69D10_20110728 Image R69D10_20110730 Image R69D11_20100707 Image R69D12_20100707 Image R69D13_20100707 Image R69D14_20100708 Image R69D15_20100708 Image R69D16_20100708 Image R69D17_20100708 Image R69D18_20100709 Image R69D22_20100710 Image R69D24_20100710 Image R69D25_20100711 Image R69D26_20100711 Image R69D27_20100711 Image R69D28_20100711 Image R69D29_20100713 Image R69D30_20100713 Image R69D32_20100714 Image R69D34_20100714 Image R69D36_20100715 Image R69D37_20100825 Image R69D38_20100825 Image R69D39_20100825 Image R69D40_20100819 Image R69D41_20100819 Image R69D42_20100819 Image R69D46_20100817 Image R69D51_20100814 Image R69D52_20100814 Image R69D53_20100813 Image R69D54_20100813 Image R69D55_20100813 Image R69D56_20100812 Image R69D57_20100812 Image R69D58_20100812 Image R69D59_20100812 Image R69D63_20100809 Image R69D64_20100807 Image R69D65_20100807 Image R69D66_20100807 Image R69D67_20100807 Image R70D02_20110807 Image R70D03_20110807 Image R70D03_20110910 Image R70D04_20110731 Image R70D04_20110829 Image R70D06_20110829 Image R70D07_20110728 Image R70D07_20110730 Image R70D08_20110730 Image R70D08_20110901 Image R70D09_20110728 Image R70D09_20110730 Image R70D10_20110728 Image R70D10_20110730 Image R70D14_20100828 Image R70D15_20100828 Image R70D16_20100827 Image R70D17_20100827 Image R70D18_20100827 Image R70D19_20100827 Image R70D20_20100827 Image R70D21_20100827 Image R70D22_20100826 Image R70D23_20100826 Image R70D24_20100826 Image R70D25_20100826 Image R70D26_20100826 Image R70D27_20100826 Image R70D32_20100714 Image R70D33_20100714 Image R70D34_20100715 Image R70D36_20100715 Image R70D37_20100825 Image R70D38_20100825 Image R70D39_20100825 Image R70D40_20100819 Image R70D41_20100819 Image R70D42_20100819 Image R70D43_20100818 Image R70D44_20100818 Image R70D45_20100818 Image R70D46_20100817 Image R70D48_20100817 Image R70D49_20100814 Image R70D52_20100814 Image R70D53_20100813 Image R70D55_20100813 Image R70D56_20100812 Image R70D57_20100812 Image R70D58_20100812 Image R70D59_20100812 Image R70D61_20100809 Image R70D64_20100807 Image R70D65_20100807 Image R71D02_20110807 Image R71D04_20110731 Image R71D05_20110731 Image R71D06_20110731 Image R71D06_20110829 Image R71D07_20110730 Image R71D07_20110901 Image R71D08_20110730 Image R71D08_20110901 Image R71D10_20110730 Image R71D10_20110901 Image R71D13_20100828 Image R71D15_20100828 Image R71D16_20100827 Image R71D17_20100827 Image R71D18_20100827 Image R71D19_20100827 Image R71D20_20100827 Image R71D21_20100827 Image R71D22_20100826 Image R71D23_20100826 Image R71D24_20100826 Image R71D25_20100826 Image R71D26_20100826 Image R71D27_20100826 Image R71D35_20100829 Image R71D37_20100825 Image R71D38_20100825 Image R71D39_20100825 Image R71D40_20100819 Image R71D41_20100819 Image R71D42_20100819 Image R71D48_20100817 Image R71D49_20100814 Image R71D50_20100814 Image R71D52_20100814 Image R71D53_20100813 Image R71D54_20100813 Image R71D55_20100813 Image R71D56_20100812 Image R71D57_20100812 Image R71D58_20100812 Image R71D59_20100812 Image R71D61_20100809 Image R71D64_20100807 Image R71D65_20100807 Image R72D05_20110804 Image R72D06_20110804 Image R72D07_20110730 Image R72D07_20110901 Image R72D08_20110730 Image R72D08_20110901 Image R72D09_20110730 Image R72D09_20110901 Image R72D10_20110730 Image R72D10_20110901 Image R72D11_20100828 Image R72D15_20100828 Image R72D16_20100827 Image R72D18_20100827 Image R72D20_20100827 Image R72D21_20100827 Image R72D22_20100826 Image R72D23_20100826 Image R72D24_20100826 Image R72D25_20100826 Image R72D26_20100826 Image R72D27_20100826 Image R72D28_20100826 Image R72D37_20100825 Image R72D39_20100825 Image R72D40_20100819 Image R72D41_20100819 Image R72D42_20100819 Image R72D45_20100818 Image R72D46_20100817 Image R72D48_20100817 Image R72D50_20100814 Image R72D51_20100814 Image R72D52_20100814 Image R72D54_20100813 Image R72D55_20100813 Image R72D56_20100812 Image R72D57_20100812 Image R72D58_20100812 Image R72D59_20100812 Image R72D61_20100809 Image R72D64_20100807 Image R72D65_20100807 Image R72D66_20100807

samir 2019-07-29